14.2 基于FPGA的设计-红外通信
上一节
下一节
14.2 基于FPGA的设计-红外通信
红外通信发送的每一帧信号应该有一个识别码,加在一帧红外信号的内部,以下设计没有做这方面的处理,同学们自行添加,建议用学号的后3位作为识别码,加在待发送的红外基带信号的前面。
一、设计要求:
二、设计电路:
空调机温度控制电路
空调机温度信号、基带信号产生及调制信号产生电路
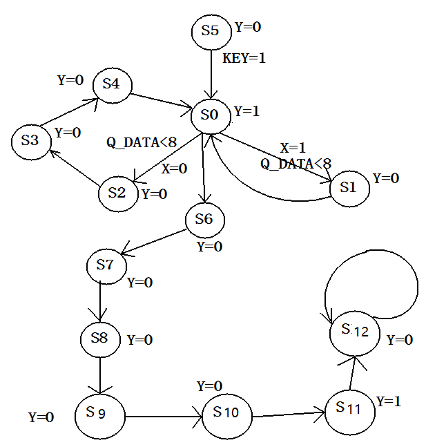
其中基带信号产生电路的设计状态机如下图:
Y:基带输出信号
X:待发送的二进制代码
Q_DATA:待发送的一帧基带信号代码位数
状态机仿真波形:
3.空调机设计总电路及接收解码
三、仿真波形图:为仿真方便,其中CLK1用400纳秒,CLK3用100纳秒,CLK2用10纳秒。
四、把总电路中的KTJ_jidai和hongwai_jiemal(增加2只7447译码电路)两个电路,分别下载到两块DE2中,用杜邦线连接图中Y的基带通信线路,同时两块DE2共地,调试基带通信的正确性。
1.按照CLK2为38-39KHZ要求,把DE2的50MHZ时钟(引脚分配为PIN_N2)分频。
2.CLK1设置为1/4倍的CLK2,CLK3与CLK2同频率。
3.按照PPT要求焊接红外发射、接收电路,注意红外接收解码后的波形与发射时的基带波形反相,建议在接收电路前端加反相器。
五、DE2开发板上GPIO接口:

