一、必做题(按要求完成此题后,运行无误再保存成exe格式的可执行文件,主文件名为自己的学号后两位加姓名,然后提交作业)
1、设计要求:在标题为“圆球体积”的窗体Form1上,添加一个标题为“圆球的半径”的 标签Label1;然后再添加一个标题为“体积”的命令按钮Command1;接着 再添加一个文本内容为空的文本框Text1;最后添加一个标题为空、有边框 的标签Label2。具体设计界面如下图所示:

2、运行要求:程序运行时,在Text1中输入圆球半径,单击“体积”按钮,计算该圆球的 体积,并将计算结果(保留3位小数)显示在Label2中。程序运行结构图与程序代码参考如下:


二、附加题(选做题,有能力的同学请完成下面的任务)
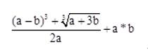
1、表达式实例
在文本框Text1和Text2中分别输入a和b的值,单击“计算“按钮,求下面公式的值,并将计算结果(保留2位小数)显示在文本框Text3中。

界面设计如下:

程序代码提示如下:

2、设计要求:输入任意一个整数,输出这个数的平方值、立方值和平方根值 。
第一步:创建新窗体Form1,在此窗体上创建二个命令按扭Command1、 Command2,创建四个标签Label1、Label2、Label3、Label4和四个文本框Text1、Text2、Text3、Text4。定义四个变量X,A、B、C分别代表平方值、立方值和平方根值。
第二步:设置对象的属性
对象类型
| 对象名
| 属性设置
|
窗体
| Form1
| Caption
| 计算
|
命令按钮
| Command1
| Caption | 计算
|
| 命令按钮 | Command2
| Caption | 退出
|
标签
| Label1 | Caption | 输入的数
|
| 标签 | Label2 | Caption | 平方
|
| 标签 | Label3 | Caption | 立方
|
| 标签 | Label4 | Caption | 平方根
|
文本框
| Text1 | Text | 空白
|
| 文本框 | Text2 | Text | 空白 |
| 文本框 | Text3 | Text | 空白 |
| 文本框 | Text4 | Text | 空白 |
第三步:补充完成代码编写(在?号处填写合适的语句)
Private Sub Command1_Click()‘计算
Dim X as single ’输入变量
Dim A as single ’平方
Dim B as single ’立方
Dim C as single ’平方根
X=VAL(?)
A= ?
B = ?
C = ?
Text2.Text= ?
Text3.Text =?
Text4.Text =?
End Sub
Private Sub Command2_Click()
?
End Sub
第四步:保存文件,调试程序
一、标准数据类型:

注意:
1、在VB程序设计中,当变量声明后若没对变量进行赋初值,则变量的默认值是数值型数据的默认值为0,字符型数据的默认值为空串,逻辑型型数据默认值为False。
2、VB中的标识符和关键字区别
标识符就是用户自定义的符号常量和变量、自定义的函数和过程、数据类型的名字。VB标识符的命名规则如下:
(1)名字只能由字母、数字和下划线组成;
(2)名字的第一个字符必须是英文字母,最后一个字符可以是类型说明符;
(3)名字的有效字符为255个;
(4)不能用VB的保留字作为变量名,但可以把保留字嵌入变量名中;同时,变量名也不能是末尾带有说明符的保留字。
(5)VB不区分变量名和其它名字中字母的大小写,但习惯上,符号常量一般用大定字母定义。
关键字,也称为保留字,它在语法上有固定的含义,是vb语言的组成部分,用于表示系统提供的标准过程、函数、运算符、符号常量等。
二、常量
1、直接常量

2、符号常量:是由用
户定义的标识符来代表一个常数值。
如:Const MIN As Integer = 0
Const MAX% = 100
Const PI = 3.14159
3、系统常量是Visual Basic系统预定义的常量,可以在程序中直接使用。
系统常量通常是以小写字母vb开头,后面跟有意义的符号。
常量
| 表示
| 常量
| 表示
|
vbCrlf
| 回车/换行组合符
| 红 | vbRed
|
vbTab
| Tab字符
| 蓝
| vbBlue
|
vbBack
| 退格字符
| 绿
| vbGreen
|
三、变量
1、显示声明:显式声明是在使用变量之前,用Dim、Public、Private或Static等关键字声 明变量
变量声明关键字 Dim:过程级、模块级变量;
Public:全局变量 ;
Private:模块级变量 ;
Static:静态变量
2、隐式声明就是在程序中没有经过声明而直接使用变量
隐式声明的变量,其默认的数 据类型是变体型
类型符放在变量名的尾部,可 以标识不同的变量类型
如:
Private Sub Form_Click()
Sum& = 0
a% = 10
b% = 20
Sum = a + b
Form1.Print Sum
End Sub
四、表达式的运算次序
函数运算→算术运算→字符运算→关系运算→逻辑运算

五、关系运算符

六、数学运算符优先次序
