-
1 课前导学
-
2 课程视频
-
3 课程内容
-
4 English Edition
-
5 Examples
实际电源等效分析
视频预习任务:3.7
3.7.1 实际电源等效分析、3.7.2 实际电源等效例题分析一、知识点挖掘与归纳总结
1. 与理想电源一样,实际电源也分为 源与 源两种。
Ø 实际电压源、实际电流源的电路模型
2. 实际电压源的电路模型为理想电压源和电阻 Ri 构成的 电路。
3. 实际电流源的电路模型为理想电压源和电阻 Ri 构成的 电路。
4. 实际电压源与实际电流源的电路模型如图 3.7.1所示,根据两个提示信息:
提示 1:内阻代表电源本身的损耗
提示 2:元件串联起分压作用,元件并联起分流作用
自行分析回答:问题 1:为什么实际电压源内阻和电源为串联关系?而实际电流源内阻和电源为并联关系?
问题 2:为什么实际电压源内阻一般很小?而实际电流源内阻一般很大

图 3.7.1 实际电压源与实际电流源的电路模型
Ø 实际电压源、实际电流源的等效变换
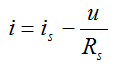
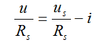
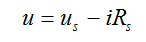
1. 列写实际电压源与实际电流源端口电压、电流方程:
①自行对图 7.11实际电压源列写 KVL 方程为 ;
②自行对实际电流源列写 KCL 方程为 ;
③两个方程联立求解,得出等效条件为: ;
2. 观察图7.1两种实际电源的电路结构情况,
①分析总结由实际电压源等效变换成实际电流源的变换点及电路参数变换情况;
②分析总结由实际电压源等效变换成实际电流源时如何确定电流源的电流方向?
③分析总结由实际电流源等效变换成实际电压源的的变换点及电路参数变换情况;
④分析总结由实际电流源等效变换成实际电压源时如何确定电压源的电压方向?
二、知识应用
1. 对图 3.7.2(a)、(b)电路进行等效,画出最终等效电路
(a) (b)
图 3.7.2 实际电源等效变换习题 1 图
2. 对图 3.7.3(a)、(b)电路进行等效,画出分别将其等效为电压源和电流源的最终电路图

(a) (b)
图 3.7.3 实际电源等效变换习题 2 图






















