支路电流法
观看视频4.9
一、知识点挖掘:
1、本讲结合 和 的知识,介绍一个能完整求解电路的方法: 法。
2、对于任意含有N个节点,B条支路的电路来说,2B法可诠释如下:
1)第一大部分为B个独立的元件约束:对每条支路可以列出它的元件约束(不仅一个元件的支路等效化处理,即用端口ui关系代替)、共 个。
2)第二大部分为B个拓扑约束:
①对N个节点可以列出它的 方程,共 个;
思考题:为什么是N-1个,扣掉了哪个节点?
②对B-N+1个独立回路可以列出 方程,总共 个方程?
上述方法2B法。
二、归纳总结:总结2B法的优点和缺点。
三、知识应用:
图4.9.1所示电路图如下:找出该电路所有节点、网孔,用2B法对该电路列写出电路方程:

图4.9.1 2B法例图
一、知识点挖掘:
1、支路电流法是以 为变量,列写方程进行求解的电路分析方法。
2、对于任意含有N个节点,B条支路的电路来说,可以列出的独立的KCL方程共 个。
3、对于任意含有N个节点,B条支路的电路来说,可以列出的独立的KVL方程共 个。
4、 怎么选取独立节点?
5、怎么选取独立回路?
二、归纳总结:
总结下支路电流法的求解步骤。
一、知识点挖掘:
1、支路电流法是以 为变量,列写方程进行求解的电路分析方法。
2、对于任意含有N个节点,B条支路的电路来说,可以列出的独立的KCL方程共 个。
3、对于任意含有N个节点,B条支路的电路来说,可以列出的独立的KVL方程共 个。
4、 怎么选取独立节点?
5、怎么选取独立回路?
二、归纳总结:
总结支路电流法的求解步骤。
在几种常用电路分析方法中,以支路法最为直接,它是直接以支路电流和支路电压为电路变量来列出电路方程。然后求解出支路电流和支路电压的方法。
支路电流法是应用基匀霍夫电流定律和电压定律分别地结点和回路列出所需要的方程组,而后解出各未知去路电流。

根据基氏定律,列结点电流和回路电压方程,然后联立求列方程时,必须先在电路图上选定好未知支路电流以及电压或电动势的参考方向。
一般地说,对具有b个支路n个结点的电路应用基尔霍夫电流定律只能得到(n-1)个独立方程,应用基尔霍夫电压定律列出单孔回路数目b-(n-1)个独立方程,共得到b 个独立方程,能解出b个支路电流。
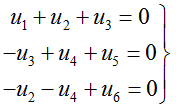
如图3.3.1所示,结点数n=4,支路数b=6,独立结点数为3,独立回路数
,对各独立结点列KCL方程,取4为参考点。

(3-3-1)
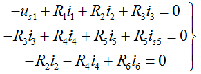
取网孔作独立回路,回路绕行方向如图b所示,依KVL有

(3-3-2)
这样共得到b=6个独立方程。
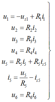
对各支路写出其电压、电流关系方程(支路方程)如下:
(3-3-3)
这样又得到6个方程。

图3.3.1 支路法 |
此电路的未知量有12个,上述独立方程数也恰好为12,联立求解上述12个方程,就可以得到各支路电流和支路电压。
对于一个具有n个结点b条支路的电路,按KCL列出(n-1)个独立支路电流方程,按KVL列出(b-n+1)个独立支路电压方程,然后对b条支路列出b个支路方程,总共列出2b个方程,电路变量为b个支路电流和b个支路电压,总共为2b个,这种方法有时称为2b法。
若在上述方程中,将各支路电压用支路电流表示,从而消去支路电压变量,就可得到b个以支路电流为变量的独立方程,这种方法称为支路电流法,同理也有支路电压法,本结仅讨论支路电流法。
从式(3-3-3)中将各支路电压用支路电流来表示,然后代入式(3-3-2)则得到:

整理得

(3-3-4)
式(3-3-4)为KVL的另一种表达形式,叙述为:
在集总电路中,任何时刻,沿任一回路各电阻压降的代数和恒等于各电压源电压的代数和,即
(3-3-5)
列方程时,先设定回路的绕行方向,凡电流参考方向与绕向一致时,
项前面取正号,反之取负号,电压源
的参考方向(极性)与绕向一致时,
前面取负号,反之取正号。
这样,对于图3.3.1所示电路,可按式(3-3-5)直接列出式(3-3-4)的3个独立方程,它们与式(3-3-1)结合就组成了求解电路的支路电流方程组。

1. 对每一支路假设一未知电流,标出其参考方向;
2. 选定(n-1)个结点,列KCL电流方程,对每个结点有:

3. 选定(b–n+1)个独立回路,列KVL电压方程(b-(n-1) 个),对每个回路有:

式中
为回路中第k个支路的电阻一的电压,和式遍及回路中的所有支路,且当
参考方向与回路方向一致时,前面取“+”号;不一致时,取“-”号;右方
为回路中第k支路的电源电压,电源电压包括电压源,也包括电流源引起的电压。
在取代数和时,当与回路
方向一致时前面取“-”号(因移在等号另一侧),
与回路方向不一致时,前面取“+”号。
4. 解联立方程组,求得b个支路电流。

1.当电路中存在着电流源与电阻的并联支路时,可将其等效变换为电压源与电阻的串联支路,当电路中存在着纯电流源时,将电流源的端电压设为未知量,计入KVL方程中,虽增加了一个未知量,但由于该支路的电流为已知值,故方程个数仍与未知数个数相等。
2.电路中存在受控源时,先将其作为独立电源对待,列写支路电流方程,然后用支路电流表示受控源的控制量,使方程中的未知量只是支路电流。

支路电流法是最基本的分析方法,在方程数目不多的情况下可以使用。支路法要同时列写KCL和KVL方程,所以方程数较多,且规律性不强(相对于后面的方法),手工求解比较繁琐,也不便于计算机编程求解。