-
1 课前导学
-
2 课程视频
-
3 课程内容
-
4 典型例题
-
5 相关文献
回路电流法
观看视频4.10
一、 知识回顾:
节点电压法实质上是对电路n-1个独立节点分别列写KCL方程。求解出电路所有独立节点电压值,即可求出各支路电压和电流。
二、知识点挖掘、归纳总结

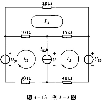
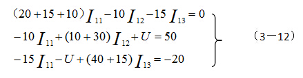
图4.10.1 回路电流法例题1
1、回路电流法是以 为未知量列写 方程分析电路的方法,在对图4.10.1所示例题进行分析时,应做工作如下:
1)选定 。
2)根据选定回路,标明 。
3)沿着回路绕行方向列写 方程
4)由回路电流求解 。
2、上题电路求解步骤如下:

根据前述回路电流法的理解,结合本题解题过程和结果,完成下面问题:
1) 回路数怎么选定?需列多少个KVL方程、方程数目和什么的数目是一样的?
2) 什么是自电阻?什么是互电阻?怎么确定自电阻、互电阻的正负号?互电阻什么情况下等于零?
3)分析上述求解步骤及得到的回路电流法标准方程,总结回路电流法本质及标准方程特点,便于理解记忆并运用。
3、根据此题,分析下回路电流和支路电流有哪几种情况?
4、总结回路电流法解题步骤,按照该步骤,自行列写出图7.1 各回路KVL方程。
三、知识应用
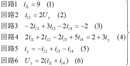
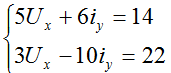
1、电路如图4.10.2所示,列出用回路电流法求解图电流i的电路方程。

图4.10.2 回路电流法例题2
2、比较图4.10.3所示的三个电路图,分析两种特殊情况电路相对于基本电路分别有什么区别?根据回路电流法核心要素总结下两种特殊情况处理思路?

图4.10.3 回路电流法特殊情况应用



















