
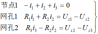
网孔法以假想的网孔电流作为电路的独立变量,它适用于平面电路。

图3.4.1 网孔法 |
以图3.4.1所示电路为例。先列写支路电流方程:

现在假想有两个电流
和
分别沿此平面电路在两个网孔流动如图。则可知:

将它们代入上式方程组,则得到

整理得

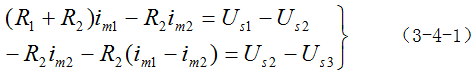
电流
,
沿网孔流动,成为网孔电流。式(3-4-1)是以网孔电流为未知量并按网孔列写的KVL电路方程,成为网孔电流方程。用网孔电流方程求解电路的方法称为网孔电流法。式(3-4-1)可规范化如下:

式(3-4-2)可以凭观察直接写出,其中:
为网孔1的所有电阻之和,称为网孔1的自电阻;
为网孔2的所有电阻之和,称为网孔2的自电阻;
和
分别称为网孔1和网孔2的互电阻,是网孔1和2支路上的电阻。在此例中,

为网孔电流
在网孔1的各电阻上引起的电压,由于网孔的绕行方向与网孔电流取为一致,故
恒为正号;同理,
在网孔2的KVL方程中总是取为正号。因此,
,
等自电阻恒为正值;
为
经过公共电阻
时所产生的电压,若
经过公共电阻时的参考方向与网孔1的绕行方向相同,则
项在网孔1的KVL方程中取正号,反之取负号。同理,若
经过公共电阻时的参考方向与网孔2的绕行方向相同,即两电流在公共电阻上的参考方向相同,则
在网孔2的方程中取正号,反之取负号。在本例中,
。式(3-5-2)方程的右方项,
和
分别为网孔1和网孔2中各电压源电压的代数和。当电压源的参考方向与网孔电流一致时,该电压源取负号;反之取正号。

对具有m个网孔的平面电路,网孔电流方程的一般形式为

与前面的规定一样,
,
,
等具有相同下标的电阻为各网络的自阻,有不同下标的电阻
等是网孔间的互阻,自阻总是正的,互阻取正或负则由相关的两个网孔电流通过公共电阻时参考方向是否相同来决定,相同时取正,相反时取负。若两个网孔间没有公共电阻,则相应的互阻为零。显然 ,若令所有网孔电流的方向均为顺(逆)时针方向,则互阻总是负的,在不含受控源的电阻电路中,
。

1.自电阻Ri i — i 网孔中所有电阻之和;
2.互电阻Rij—i、j 两个网孔的共有电阻;
3.Rii 总是正的;
Rij的符号:两网孔电流在共有电阻上流向相同时取正,相反时取负。所有网孔电流取同一饶向时互电阻均为负值。
4.两网孔间无公共电阻时,相应互电阻为零。
5.电路中不含受控源时,Rii = Rii ;方程(3-5-3)的行列式对称。
6.uSii — i 网孔中所有电压源的代数和,网孔电流由该电压源“+”端流出时取正;否则取负。
7.网孔电流自动满足KCL方程,故不须列KCL方程。

1.设定各网孔电流,标明参考方向。
参考方向可任选,通常选顺时针方向。
2.以网孔电流为未知量,列写规范化的网孔电流方程:

3.解上述方程,求出各网孔电流。
4.求其它待求量(如支路电压、电流、功率)。

网孔电流法适用于网孔少,结点较多的平面电路。网孔电流法方法确定,方程规范,易于列写和编制程序;便于计算机求解。