结点电压法
观看视频4.13
一、 知识点挖掘
1、结点电压法是列写若干以 为变量的方程,并求解出各结点的 ,进而求得各支路的 和 的电路分析方法。
2、在结点电压法中列写KCL方程时,特别规定流出结点的电流为 ,流进结点的电流为 。
二、知识点挖掘,归纳总结:
1、结点电压法分析例题1如图4.13.1所示。

图4.13.1 结点电压法例题1电路图
1)本题中共 个独立结点,其结点电压分别用 、 表示。
2)本题求解过程是列写 方程,所以方程个数和 数相等?等式左边为各电阻支路上的电流之和,均为 (填流出OR流进)节点,等式右边为 支路上的电流,均为 (填流出OR流进)节点。
根据上述知识点挖掘,归纳下结点电压法列写方程特点?
3)i1、i2上电流求解为什么和i3、i4不一样?
2、接着上面求解过程,对上式整理后得到的结点电压法标准方程如下所示:
自行完成一次上述推导,分析标准方程导求解过程,观察本图题标准方程:
1) 什么叫结点间自电导 ?为什么总为正值? 写出本题结点1和结点2的自电导。
2) 什么叫结点间的互电导?为什么总为负值?写出本题互电导。
3)自己尝试独立写出本题的结点电压法标准方程,并解释一下节点电压法标准方程等号左边和右边方程的组成。
4) 总结下结点法的一般步骤,并理解下结点电压的概念。
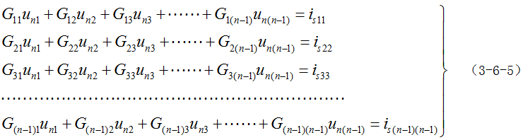
3、上述结论可推广到有n-1个独立结点的仅含电阻、电流源的电路,其标准方程如下:

解释这组方程。
三、归纳总结、知识应用
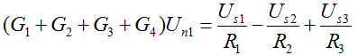
1、结点电压法特殊情况1:电路中含一个独立电压源与电阻串联的支路时,如图4.13.2所示。

图4.13.2 结点电压法特殊情况l例题1
1)此题能否直接列写结点电压法标准方程?应怎样处理后再列方程?为什么?
2)总结该类问题的处理方法。
3)用结点电压法求图4.13.3各支路电流I1、I2、I4、I5。

图4.13.3 结点电压法特殊情况1例题2
2、 结点电压法特殊情况2:两个独立结点之间连接有理想电压源。如图4.13.4所示.

图4.13.4 结点电压法特殊情况2例题
1)此时能否直接列写标准方程?为什么?
2)此种特殊情况应怎么处理?总结解题步骤,列出相应方程。
3) 对上述第二种特殊情况,也可通过怎样选取参考电位会使方程数减少?
3、 结点电压法特殊情况3:电路中含有受控电流源时,如图4.13.5所示:
1)此种特殊情况应怎么处理?总结解题步骤,列出相应方程。
2) 不管是特殊情况2还是特殊情况3,都可能会导致列出的节点电压方程中产
生新的变量,怎么通过增补方程来处理这些新的变量?
图4.13.4 结点电压法特殊情况3例题
支路法是最基本的电力分析方法,适用于如何线性电路,但对于支路数很多的电路,所需列写的方程数多,计算量大,故只在支路参数少的电路中才应用此法。
若以结点电压为电路变量,则由于结点电压自动满足了KVL,因此只需列写(n-1)个KCL方程,比支路电流法少L=b-(n-1)个方程。
这种以结点电压为电路变量,依KCL列出结点电压方程求解电路的方法,称为结点(电压)法。

在电路中任选一点作为参考结点,则其余结点均为独立结点,独立结点与参考结点之间的电压称为结点电压,结点电压的参考极性均以参考结点处为负。
图3.6.1a所示电路的图如图b所示,它的结点数为4,支路数为6。以结点0为参考结点,结点①、②、③的结点电压分别用
,
,
表示。

图3.6.1 结点法 |
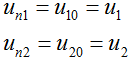
结点电压与支路电压之间的关系为

在由闭合结点行列(1,2,0,1)构成的回路中应用KVL,有

同理,

可见,全部之路电压都可以用结点电压表示,且自动满足了KVL,所以结点法中不必再列写KVL方程,只需对独立结点列出KCL方程,然后将各支路电流用相关的结点电压表示,这样便获得了(n-1)个与结点电压数相等的独立方程。
可见,在结点电压法中,列出的方程是以结点电压为变量的支路电流方程,成为结点电压方程。由上述方程求得结点电压后,便可进一步求出各支路电压和支路电流。
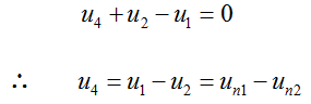
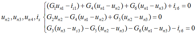
对图3.6.1a,在结点①、②、③处,分别应用KCL,得

将各支路电流用结点电压表示如下:

将(3-6-2)代入式(3-6-1),得

式中
,
.将上式整理后得

式(3-6-3)即结点电压方程组,此方程组可凭观察直接写出来。将式(3-6-3)写成规范化方程组

其中:
为连到结点①的全部电导之和,称为结点1的自(电)导;
,
则分别称为结点②、③的自导,具有不同下标的电导如
等为各相关两结点间的互导,是连接在两相关结点间公共支路上的电导,如
代表结点①和结点②间的互导。由于假设各结点电压的参考方向总是由独立结点指向参考结电,故各结点电压在自电导中引起的电流总是流出结点的,在结点电压方程左边流出结点的电流取正号,因而自电导总是正的;但其余相关结点通过互电导时所引起的电流总是流入本结点的,在结点方程左边流入结点的电流取“-”号,故互电导总是负的。
式(3-4-4)方程右边的
分别表示注入结点①、②、③的电流源(或电压源)电流的代数和。注入取正,反之取负。对由电压源引起的电流项来说,当电压参考正极性连到该结点时取正,反之取负。

具有(n-1)个独立结点的电路结点电压方程可推广得出,为

若两结点之间没有支路有直接相连,则相应得互导为零,当电路中不含受控源时,互导
,式(3-6-5)的行列式对称。求得各结点电压后,指定各支路电流的参考方向,用欧姆定律求出各支路电流。

1.若电路中含有纯电压源支路,按两种方法处理。一是选取纯电压源支路的一端作为参考结点,则另一端的结点电压就等于该电压源的电压,为已知值。从而不必再列写该结点的结点电压方程(避免了电导无穷大的问题)。二是将纯电压源之路的电流作为未知量,计入相关结点的方程中,每增加一个这样的未知量,必须同时增加一个表示该电压源电压与相关结点电压关系的约束方程,使方程数目与未知数数目相等。
2.若电路中有电流源串联电阻的支路,该电阻不应计入结点电压方程的自导和互导中。因结点方程实际是以结点电压为变量的KCL方程,而电流源串联电阻支路的电流,为电流源的电流。若再将该支路的电导计入结点电压方程中,则该支路中将存在着由结点电压在电导中引起的另一电流,这是不对的。
3.对含受控源的电路,先把受控源作为独立电源对待。列写结点电压方程,然后将受控源的控制量以结点电压表示,代入结点电压方程中,使方程中的未知量只含结点电压。

1.指定参考结点。
2.列出结点电位方程(自导为正,互导为负)。
3.电流源流入结点为正,流出为负。
4.根据欧姆定律,求出个支路电流。

结点电压法适用于结点少,回路多的电路,且由于无论是平面电路还是非平面电路,结电电压方法确定,方程规格化,易于编制程序。故它在计算机辅助电路分析中得到广泛的应用。


图3.6.2 弥尔曼定理
电路中只有两个结点时,可用弥尔曼定理直接求得结点电压。如图3.6.2所示电路:

即

上式为弥尔曼定理。
当电压源的“+”极性端接到独立结点1时,
取“+”号,反之取“-”号。电流源注入结点1时,
取“+”号,反之取“-”号。