
叠加定理:在线性电路中,由n个独立电源共同作用产生的各支路电流或支路电压,等于各个独立电源分别单独作用时在相应支路中产生的电流或电压的叠加。
所谓独立电源不作用,指独立电压源短路,独立电流源开路,受控源则保留。


图4.1.1 叠加定理 |
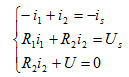
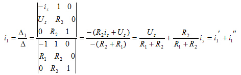
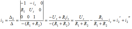
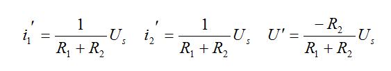
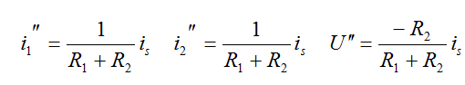
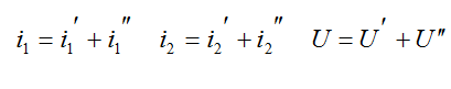
对于图4.1.1所示电路,用支路电流法解,有:




可见,由于电阻都是线性的,故支路电流
,
和支路电压
都是电流源
和电压源
的一次函数。
当
时,
总能作用,有

当时
,
单独作用,有

而


(1)叠加定理适用于非线性电路;
(2)叠加时,电路的连接以及电路中所有电路和受控源都不要变动。所谓独立电源不作用,是指将电压源用短路替代,电流源用开路替代;
(3)叠加时,要注意电流、电压的参考方向;
(4)功率不是电流或电压的一次函数,故不能用叠加定理计算功率;
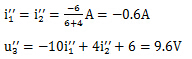
应用叠加定理时,也可以把电路中的所有电源分成几组,按组计算电流和电压后再叠加起来。
由叠加定理可推出:
齐性定理:线性电路中,当所有激励(电压源和电流源)都同时增大或缩小K倍(K为实常数)时,响应(电流和电压)也将同样增大或缩小K倍。当电路中只有一个激励时,响应与激励成正比。
用齐性定理分析梯形电路特别有效。

(1) 当用观察法就能把各独立电源单独作用下所产生的电压或电流求出时,应用叠加定理很方便,如果各电源单独作用时,须由回路法或节点法等才能求出各支路电流和电压,则不如直接对原电路用这些方法求解;
(2) 当电路中的各电源不是相同的时间函数时,最好应用叠加定理求解。这样,每次只有一种时间函数的独立电源作用于电路,电路响应也只有这样相应的时间函数;
(3) 叠加定理是分析线性电路的基础,应用它,更重要的是可用来证明线性电路的某些重要定理(如戴维宁——诺顿定理)和引出某些重要的分析方法(非正弦)。