
电感元件是表征产生磁场、储存磁场能量的元件。一般把金属导线绕在一骨架上来构成一实际电感器(如图1.7.1a所示)。

(如图1.7.2所示)

图1.7.2 电感的电路符号 |

任何时刻,通过线性电感元件的电流i与其磁链y 成正比。y~i 韦安特性是过原点的直线(如图1.7.3所示)。

图1.7.3 电感元件的韦安特性 |

L 称为电感器的自感系数, L的单位:H (亨) (Henry,亨利),常用μH,m H表示。



若电感的端电压U和电流i取关联参考方向,根据电磁感应定律与楞次定律则有:
上式表明:
(1)电感电压u 的大小取决于i 的变化率, 与i 的大小无关,电感是动态元件;
(2)当i为常数(直流)时,u =0 。电感相当于短路;
(3)实际电路中电感的电压u为有限值,则电感电流i不能跃变,必定是时间的连续函数。


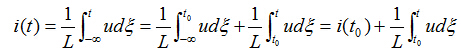
上式表明:
电感元件有记忆电压的作用,故称电感为记忆元件。
注意:
(1)当 u,i为非关联方向时,上述微分和积分表达式前要冠以负号;
(2)上式中i(t0)称为电感电流的初始值,它反映电感初始时刻的储能状况,也称为初始状态。


当 u,i取关联参考方向时:

(1)当电流增大,i>0,di/dt>0,则u>0,线圈中的磁链y增加,p>0, 电感吸收功率。
(2)当电流减小,i>0,di/dt<0,则u<0,线圈中的磁链y减小,p<0, 电感发出功率。
表明电感能在一段时间内吸收外部供给的能量转化为磁场能量储存起来,在另一段时间内又把能量释放回电路,因此电感元件是无源元件、是储能元件,它本身不消耗能量。

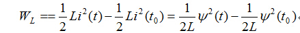
对功率积分得:

从t0到 t 电感储能的变化量:

上式表明:
(1)电感的储能只与当时的电流值有关,电感电流不能跃变,反映了储能不能跃变;
(2)电感储存的能量一定大于或等于零。