
当电路中含有储能元件L和C时,由于L、C元件当电路中含有储能元件L和C时,由于L、C元件上电压、电流的约束关系为微分或积分关系:
(关联参考方向下)
因此,根据KCL、KVL和元件的VCR所建立的电路方程是以电压或电流为变量的微分方程。我们将L元件和C元件又称为动态元件。含有动态元件的电路称为动态电路。
动态电路的一个特征是:当电路的结构和元件的参数发生改变时,可能使电路改变原来的稳定状态而转变到另一种稳定状态。这种转变,一般说来,不能马上完成,而需要经历一个过程。
实例:S打开时,灯不亮;S闭合后,为有源电路,C相当于开路,灯应不亮,可为什么S闭合后,灯泡会马上亮起来然后才熄灭?
原因:S闭合改变了电路的工作状态,由稳态1(S打开)转变到稳态2(S闭合后无限长时间),中间经历了被充电的过程。
这种从一种稳态转变到另一咱稳态中间所经历的过程,工程上称为过渡过程。因为过渡过程所经历的时间很短(以
、
、
计),所以又称为暂态。
8.3换路与换路定理
换路:通常,我们把电路中开关的接通、断开或电路参数的突然变化等统称为“换路”。 并且认为换路是在
时刻瞬间进行的,并且换路前的瞬间用
表示,换路后的瞬间用
表示。本章我们研究的是换路后电路中电压或电流的变化规律,知道了电压、电流的初始值,就能掌握换路后电压、电流是从多大的初始值开始变化的。

如果将换路发生的时刻取为计时起点,即t=0,而以
表示换路前的最后一瞬间,它和t=0之间的时间间隔趋近于零;以
表示换路后的最初一瞬间,它t=0之间的间隔也趋近于零,则换路所经历的时间为
到
。
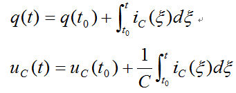
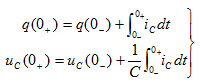
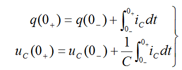
对于线性电容来说,在任意时刻t,有

令
,
,则得
(6-1-1)
如果在换路前后,即
到
瞬间,电流
为有限值,则上式中积分项为零。此时,电容上电荷和电压就不发生跃变。有
(6-1-2)
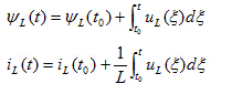
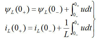
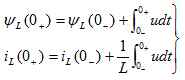
在线性电感元件上,磁链和电流可写为

令
,
,得
(6-1-3)
如果在换路瞬间,即
到
瞬间,电感元件的端电压
为有限值,则式(6-3)中积分项为零,电感中磁通链和电流就不发生跃变。即
(6-1-4)
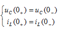
换路定律:
在换路瞬间,电容元件的电流值为有限时,电容电压
及其电荷量
不能跃变;电感元件的电压值为有限时,其电流
及磁通链不能跃变。即
(6-1-5)
除
、
、
、
四个物理量以外,其余物理量,如
、
、
、
以及电压源中的电流、电流源中的电压在换路瞬间都可以跃变。因为它们的跃变不会引起电场各磁场能量的跃变。亦即不会出现无限大的功率。、
必须注意:只有uC 、 iL受换路定律的约束而保持不变,电路中其他电压、电流都可能发生跃

电路响应及其(n-1)阶导数在换路后最初一瞬间的值(即
时)称为初始值。独立初始值:
、
相关初始值:其它可以跃变的物理量的初始值,又称非独立初始值。
独立初始值的求法:
由换路定律确定,即

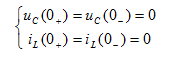
①若换路前电路中的动态元件均未储能,即
和
均为零,则电路称为零状态电路,具有零初始条件。此时,独立初始值为

表明,电路在换路后的瞬间(
时),C相当于短路,L相当于开路。
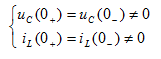
②换路前,动态元件均已储能,即

则在换路后的初始瞬间(
时),C相当于一个电压值为
的电压源,电压源参考方向与
相同;L则相当于一个电流值为
的电流源,电流源参考方向与
相同。
相关初始值的求解
①先求独立初始值
、
②画
等效电路
③得到
等效电路为一个电阻性电路,依KCL、KVL和欧姆定律求相关初始值。上电压、电流的约束关系为微分或积分关系:
(关联参考方向下)
因此,根据KCL、KVL和元件的VCR所建立的电路方程是以电压或电流为变量的微分方程。我们将L元件和C元件又称为动态元件。含有动态元件的电路称为动态电路。
动态电路的一个特征是:当电路的结构和元件的参数发生改变时,可能使电路改变原来的稳定状态而转变到另一种稳定状态。这种转变,一般说来,不能马上完成,而需要经历一个过程。
实例:S打开时,灯不亮;S闭合后,为有源电路,C相当于开路,灯应不亮,可为什么S闭合后,灯泡会马上亮起来然后才熄灭?
原因:S闭合改变了电路的工作状态,由稳态1(S打开)转变到稳态2(S闭合后无限长时间),中间经历了被充电的过程。
这种从一种稳态转变到另一咱稳态中间所经历的过程,工程上称为过渡过程。因为过渡过程所经历的时间很短(以
、
、
计),所以又称为暂态。

如果将换路发生的时刻取为计时起点,即t=0,而以
表示换路前的最后一瞬间,它和t=0之间的时间间隔趋近于零;以
表示换路后的最初一瞬间,它t=0之间的间隔也趋近于零,则换路所经历的时间为
到
。
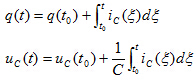
对于线性电容来说,在任意时刻t,有

令
,
,则得
(6-1-1)
如果在换路前后,即
到
瞬间,电流
为有限值,则上式中积分项为零。此时,电容上电荷和电压就不发生跃变。有
(6-1-2)
在线性电感元件上,磁链和电流可写为

令
,
,得
(6-1-3)
如果在换路瞬间,即
到
瞬间,电感元件的端电压
为有限值,则式(6-3)中积分项为零,电感中磁通链和电流就不发生跃变。即
(6-1-4)
换路定律:
在换路瞬间,电容元件的电流值为有限时,电容电压
及其电荷量
不能跃变;电感元件的电压值为有限时,其电流
及磁通链不能跃变。即
(6-1-5)
除
、
、
、
四个物理量以外,其余物理量,如
、
、
、
以及电压源中的电流、电流源中的电压在换路瞬间都可以跃变。因为它们的跃变不会引起电场各磁场能量的跃变。亦即不会出现无限大的功率。

电路响应及其(n-1)阶导数在换路后最初一瞬间的值(即
时)称为初始值。独立初始值:
、
相关初始值:其它可以跃变的物理量的初始值,又称非独立初始值。
独立初始值的求法:
由换路定律确定,即

①若换路前电路中的动态元件均未储能,即
和
均为零,则电路称为零状态电路,具有零初始条件。此时,独立初始值为

表明,电路在换路后的瞬间(
时),C相当于短路,L相当于开路。
②换路前,动态元件均已储能,即

则在换路后的初始瞬间(
时),C相当于一个电压值为
的电压源,电压源参考方向与
相同;L则相当于一个电流值为
的电流源,电流源参考方向与
相同。
相关初始值的求解
①先求独立初始值
、
②画
等效电路
③得到
等效电路为一个电阻性电路,依KCL、KVL和欧姆定律求相关初始值。