零输入响应:零输入是指没有外加电源激励,响应是电路中电压、电流变化规律的统称。零输入响应是指在没有外加电源激励的情况下,仅由储能元件初始储能
、
引起的响应。


如图6.2.1所示,在换路前,开关S合在1的位置上,电源对电容元件充电,达到稳态时,uC=U。在t=0时,将开关S从位置“1”合到位置“2”,使电路脱离电源,输入信号为零,此时,电容元件上的电压初始值 。在t>0时,电容元件经过电阻R开始放电。 |  |
根据KVL,列出t≥0时的电路微分方程
而
,
代入上式得:
上式为一阶常系数线性齐次微分方程,令它的通解为:
代入方程中,并消去公因子
,得出该微分方程的特征方程:
其特征根为 :
因此,该微分方程的通解为:
式中A为积分常数,由电路的初始条件确定,即:
,
所以

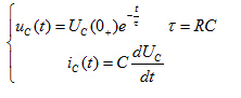
可见,电容在放电时,其电压随时间按指数规律衰减,它的初始值为U,衰减终了为零。
随时间的变化曲线如图6.2.2所示。
RC电路放电过程中电容放电电流和电阻上的电压为
上两式中的负号表示放电电流的实际方向与图中的参考方向相反。画出了
、
随时间变化的曲线。

令
因为它具有时间的量纲,单位是秒,所以称为RC电路的时间常数。电压
衰减的快慢决定于电路的时间常数。
当
时,电容上电压值为

可见时间常数
为电容电压衰减到初始值的0.368倍所需要的时间。
1.5 RC零输入响应一般公式:


如图 6.2.3 所示,在换路前,开关 S 是合在“1”的位置上,电感元件中通有电流,
(
)=
。
在 t=0 时将开关从“1”的位置合到“2”的位置,使电路脱离电源,RL电路被短路。此时,
(
)=
(
)=
,电感元件已储有能量,逐渐被电阻 R 消耗。

根据KVL得:
又由 
.
和 
代入上式得:
上式为一阶线性常系数齐次微分方程。其特征方程:
特征根为:
因此,微分方程的通解为:
由初始条件可确定:
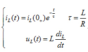
所以,RL电路的零输入响应为:
上式中,令
;
也具有时间的量纲,称为RL电路的时间常数。
、
的响应为:
R·


所求
、
、
随时间而变化的曲线如图所示。
为负值表示此时电感元件的实际电压级性与
参考级性相反。

RL零输入响应的一般形式: