全响应是指储能元件初始储能不为零的同时,又有外加电源激励引起的响应。

图6.4.1为一已充电的电容经过电阻接到直流电压源
上,
故设
,
时,合上K后,求电容两端的电压
。

利用分解原理,图6.4.1中的响应等效于图6.4.1(a)和 6.4.1(b)作用的叠加。

图6.4.1(a)中
,电路中的响应为零状态响应。
图6.4.1(b)中
,电路中的响应为零输入响应。
零状态响应: 
零输入响应: 
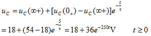
那么图6.4.1 (a)中的全响应:
即 全响应=零状态响应+零输入响应
同理,电流全响应应为
求零输入响应时,应将输入激励去掉,即把电压源断路,电流源开路。
零输入响应与电路的初始状态量值(
)成正比,称为零输入线性;零状态响应则与输入激励的量值(
)成正比,称为零状态线性。但全响应与初始状态量值及输入激励量值之间都不存在正比关系,另有当初始状态量值和外施激励量值同时增大K倍时,全响应才能增加K倍。

三要素法是指依据暂态过程中电压、电流的初始值
、稳态值
、时间常数
及三要素快速公式求解线性一阶动态电路的方法。需要注意的是:
1) 直流电源激励时,三要素快速公式为

2)交流电源激励时,三要素快速公式为

式中:
是指电路进入稳态后的正弦稳态响应。可用相量法求解。
是指正弦稳态响应
在
时刻的值。