阶跃函数
-
1 课程内容
-
2 典型例题
-
3 课程视频
上一节
下一节
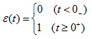
(1) 单位阶跃函数(k=1)

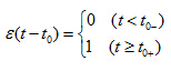
(2) 单位延迟阶跃函数(时刻发生跃变)

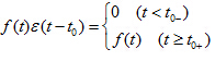
(3) 性质:“起始”任意一个函数(t)。如图6.5.2所示。







