-
1 课前导学
-
2 课程内容
-
3 典型例题
-
4 练习题
复数和正弦量
重点:1、熟悉复数的定义及各种表示方法
2、理解正弦量的特征及其各种表示方法
视频预习任务:9.3复数和正弦量
学习知识点:复数和正弦量基础知识
观看9.3任务点视频
一、 知识点挖掘
1、复数的三种表示方式分别为 、 、 ;对应的表达方式分别写作: 、 、 。
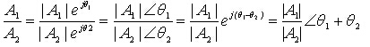
2、复数的四则运算:设两复数为:

则 A±B= ;A·B= ;A / B= 。
3、正弦信号的三要素是: 、 、 ;正弦信号的频率f、角频率ω和周期T之间的关系表达式为: ;正弦量(以正弦电流为例)的振幅和有效值之间的关系为: 。
4、正弦电流信号 的相位和初相位分别为: 和 ;它和正弦电压信号
的相位差φ为: 。
二、归纳总结
1、通过对复数三种表示方式互相转换的练习,归纳具体的转换方法。
2、通过对复数的四则运算的练习,熟练掌握复数运算在两个或多个正弦量四则运算中的应用。
3、理解正弦信号的三要素,灵活掌握正弦信号的频率、角频率和周期之间的转换关系,总结峰值和有效值、初相角和相位角之间的关系。
三、应用举例

试求:(1)将上述复数化为极坐标形式;(2)和
例2:已知一电路的电压、电流为:

试求:(1)画出它们的波形图,求出它们的有效值,频率f和周期T。
(2)写出它们的相位差。








