电路

武超

目录

  • 专业课程的第一粒纽扣-电路绪论
    • ● 电路课程介绍
    • ● 电路慕课学习手册
    • ● 电路发展历史
    • ● 电路的应用
    • ● 我国伟大成就与电路课程
  • 求本溯源--电路模型和电路定律(Circuit Model and Laws)
    • ● 本章学习效果和对应能力培养
    • ● 电路绪论
    • ● 电路和电路模型(Circuit and Circuit Model)
    • ● 电流和电压的参考方向(Reference Direction of Current and Voltage)
    • ● 电功率和能量(Electrical Power and Energy)
    • ● 电路元件(Circuit Elements)
    • ● 电阻元件(Resistor)
    • ● 理想电压源(Ideal Voltage Source)
    • ● 理想电流源(Ideal Current Source)
    • ● 受控源(Dependent Sources)
    • ● 基尔霍夫定律(Kirchhoff's Laws)
    • ● 基尔霍夫电流定律(KCL)
    • ● 应用案例—单线操作安全性验证
    • ● 基尔霍夫电压定律(KVL)
    • ● 应用案例--各种电源的特点简介
    • ● 习题(Exercises)
    • ● 习题答案(Exercises Answer)
    • ● 1章测试
    • ● 实验一、伏安特性测量
  • 大道至简--电阻电路的等效变换
    • ● 本章学习效果和对应能力培养
    • ● 电路的等效变换
    • ● 电阻的串联和并联
    • ● 混联
    • ● 电阻的Y形连接和△形连接的等效变换
    • ● 应用案例-惠斯登电桥
    • ● 电压源、电流源的串联和并联
    • ● 实际电源的两种模型及其等效变换
    • ● 输入电阻
    • ● 2章测试
    • ● 章测试答案
    • ● 习题
    • ● 习题答案
    • ● 自我提升
    • ● 自我提升答案
  • 放之四海而皆准--电阻电路的一般分析
    • ● 本章学习效果和对应能力培养
    • ● 电路的图
    • ● 基本概念
    • ● 树支、连支和回路
    • ● 习题
    • ● 习题答案
    • ● KCL和KVL的独立方程数
    • ● 线性电阻电路的一般分析方法
    • ● 支路电流法
    • ● 回路电流法
    • ● 回路电流方程的标准形式
    • ● 网孔电流法
    • ● 结点电压法
    • ● 含无伴电流源的电路
    • ● 含受控源电路的回路电流法
    • ● 习题
    • ● 3章测试
    • ● 章测试答案
    • ● 自我提升
  • 万物皆规律--电路定理
    • ● 本章学习效果和对应能力培养
    • ● 叠加定理
    • ● 替代定理
    • ● 戴维宁定理和诺顿定理
    • ● 戴维宁和诺顿定理的内容
    • ● 戴维宁定理的证明与应用范围
    • ● 诺顿定理
    • ● 最大功率传输定理
    • ● 应用案例——光伏发电中的最大功率追踪
    • ● 实验——戴维宁定律的验证
    • ● 习题
    • ● 4章测验
    • ● 章测验答案
    • ● 章测验答案(测验版)
    • ● 自我提升
  • 集元件之大成--含有运算放大器的电阻电路
    • ● 本章学习效果和对应能力培养
    • ● 运算放大器的电路模型
    • ● 比例电路的分析
    • ● 虚短和虚断
    • ● 运算放大器电路分析
    • ● 应用型案例-有源滤波器
  • 有容乃大--储能元件(Energy Storage Component )
    • ● 本章学习效果和对应能力培养
    • ● 电容元件(Capacitance)
    • ● 电感元件(Inductance)
    • ● 应用案例-电容式传感器
    • ● 应用型案例-电磁炮
    • ● 应用案例-超级电容
    • ● 电感和电容元件的串并联
    • ● 6章测试
    • ● 习题
    • ● 自我提升
  • 由静及动--一阶电路和二阶电路的时域分析
    • ● 本章学习效果和对应能力培养
    • ● 动态电路的方程及其初始条件
    • ● 动态电路的初始条件及换路定律
    • ● 一阶电路的零输入响应
    • ● 零状态响应的定义
    • ● 一阶电路的零状态响应
    • ● 全响应
    • ● 一阶电路的全响应
    • ● 二阶电路的零输入响应
    • ● 应用案例-LC振荡器
    • ● 习题
    • ● 二阶电路习题
    • ● 应用案例-动态电路的实际应用
    • ● 7章测验
    • ● 练习题
    • ● 练习题
    • ● 练习题
    • ● 练习题
    • ● 阶跃函数
    • ● 习题
    • ● 冲激函数
    • ● 一阶电路的阶跃响应
    • ● 一阶电路的冲激响应
  • 搭建电路和数学的桥梁--相量法
    • ● 本章学习效果和对应能力培养
    • ● 复数
    • ● 正弦量
    • ● 相量法的基础
    • ● 电路定律的相量形式
    • ● 习题
    • ● 自我提升
    • ● 正弦量的相量表示
    • ● 8章测验
  • 由动至静--正弦稳态电路的分析
    • ● 本章学习效果和对应能力培养
    • ● 阻抗和导纳
    • ● 电路的相量图
    • ● 正弦稳态电路的分析
    • ● 正弦稳态电路的功率
    • ● 功率因数提高-应用型案例节能器
    • ● 复功率
    • ● 最大功率传输
    • ● 习题
    • ● 实验——日光灯功率因数提高
    • ● 9章测验
    • ● 自我提升
    • ● A卷
    • ● A卷答案
  • 给予和获得--含有耦合电感的电路
    • ● 本章学习效果和对应能力培养
    • ● 互感的概念
    • ● 应用型案例—无线充电
    • ● 应用型案例—手机无线充电系统
    • ● 耦合电感的伏安特性
    • ● 耦合电感的串联去耦等效
    • ● 耦合电感的并联去耦等效
    • ● 变压器原理
    • ● 理想变压器
    • ● 实验——互感系数的测量
  • 响应与激励的随动过程--电路的频率响应
    • ● 网络函数
    • ● RLC串联谐振电路预习测试
    • ● RLC串联电路的谐振
    • ● 应用型案例-电动汽车无线充电系统
    • ● RLC串联电路的频率响应
    • ● RLC并联谐振电路
    • ● 波特图
    • ● 滤波器
    • ● 应用案例-有源滤波器与无源滤波器
    • ● 11章测验
  • 电路你、我、他--三相电路
    • ● 特高压输电简介
    • ● 三相电路
    • ● 线电压(流)与相电压(流)的关系
    • ● 对称三相电路的计算
    • ● 应用型案例—零、地线的鉴别
    • ● 不对称三相电路的概念
    • ● 应用案例-简易相序测试仪
    • ● 三相电路的功率
    • ● 实验——三相交流电路参数的测量
    • ● 实验——三相交流电路功率的测量
    • ● 12章测验
  • 谐波之美——非正弦周期电流电路和信号的频谱
    • ● 非正弦周期信号
    • ● 非正弦周期函数分解为傅里叶级数
    • ● 应用型案例——生活中的谐波
    • ● 有效值、平均值和平均功率
    • ● 非正弦周期电流电路的计算
    • ● 13章测验
  • 探索工程数学之美--线性动态电路的复频域分析
    • ● 拉普拉斯变换的定义
    • ● 拉普拉斯变换的基本性质
    • ● 拉普拉斯反变换的部分分式展开
    • ● 运算电路
    • ● 应用拉普拉斯变换法分析线性电路
    • ● 网络函数的定义
    • ● 网络函数的极点和零点
    • ● 极点、零点与冲激响应
    • ● 极点、零点与频率响应
    • ● 14章测验
  • 计算机里的电路方程--电路方程的矩阵形式
    • ● 割集
    • ● 关联矩阵
    • ● 回路矩阵
    • ● 割集矩阵
    • ● 矩阵A、Bf、Qf之间的关系
    • ● 回路电流方程的矩阵形式
    • ● 结点电压方程的矩阵形式
    • ● 15章测验
  • 首尾相望--二端口网络
    • ● 二端口网络
    • ● 二端口网络的方程与参数
    • ● 二端口的等效电路
    • ● 二端口的连接
    • ● 回转器和负阻抗变换器
    • ● 实验——二端口网络T参数的测量仿真
    • ● 实验——受控源特性的测量仿真
    • ● 16章测验
  • 电路的绝对形式--非线性电路
    • ● 非线性电阻
    • ● 非线性电容与电感
    • ● 非线性电路方程
    • ● 小信号分析
    • ● 分段线性化方法
    • ● 典型非线性电路分析案例
    • ● 17章测验
  • 机器的大脑--人工神经元电路
    • ● 人工神经网络
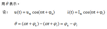
正弦量
  • 1 课程视频
  • 2 课程内容
  • 3 典型例题
  • 4 测试题