-
1 课前导学
-
2 课程视频
-
3 课程内容
-
4 典型例题
-
5 测试题
-
6 参考文献
正弦稳态电路的分析
难点:掌握正弦稳态电路的分析方法
视频预习任务:学习通视频任务点10.4。
学习知识点:正弦稳态电路的分析方法。
观看学习通10.4任务点视频
一、 知识点挖掘
1、分析正弦稳态电路时,在画出电路的相量模型的基础上,阻抗的串联电路仍然满足 ;阻抗的并联仍然满足 。
2、在分析线性的正弦稳态电路时,前面直流电路学过的各种电路分析方法都适用,包括 , , ;前面直流电路学过的电路定理也都适用,包括 , 。
二、归纳总结
1、归纳和总结正弦稳态电路的分析方法和步骤;
2、归纳和总结在分析正弦稳态电路时参考相量的选择原则;总结电路各相量的相量图的绘制方法;灵活运用数学知识和相量图巧妙解决一些特定问题。
3、用回路电流法(网孔电流法)求解正弦稳态电路时,归纳和总结如何选择回路以及在计算阻抗和列写回路各电压相量方程时需要注意的事项;
4、用节点电压法求解正弦稳态电路时,归纳和总结如何选择参考节点以及在计算导纳和列写节点电流相量方程时需要注意的事项;
5、归纳和总结用戴维南定理(诺顿定理)在分析正弦稳态电路时的方法和注意事项。
三、知识应用
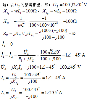
例1:已知:电路如图10.4.1所示, 
![]()
求:1)各表的读数
2)R、L、C



























