-
1 课前导学
-
2 课程视频
-
3 课程内容
-
4 English Edition
-
5 典型例题
受控源元件
观看视频2.9
一、关键信息挖掘与归纳总结
1. 受控源又称为非独立电源,其电压或电流大小及方向受电路中其它支路的电压或电流控制的电源。
根据受控源名字及上述定义分析总结下述该元件的关键属性:
①该元件是个 ,意味着它可能是 源,也可能是 源;
②归纳总结该元件的受控特性,谁受谁控制?
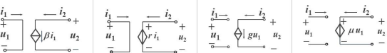
2 . 图 2.9.1为受控源和理想电源电路符号,观察总结两种受控源电路符号的特点及区别;对比总结受控电压源与理想电压源、受控电流源与理想电流源电路符号的区别

图2.9.1 受控源和理想电源电路符号图
3. 根据上面挖掘的关键信息归纳总结,有哪四种线性受控源?
4. 观察图 9.2 示四种受控源电路模型特点,结合对受控源概念的理解:

图2.9.2 受控源类型
①分别确定 4 个电路模型中“源”的种类(电压源或电流源)为:
(a) (b) (c) (d)
②分别确定 4 个电路模型中控制量为(电流或电压):
(a) (b) (c) (d)
③根据上述理解,确定 4 个受控源类型,写出 4 个电路模型的受控表达式
类型:(a) (b) (c) (d)
受控表达式:(a) (b) (c) (d)
④观察四种受控源电路模型特点,画出它们在电路中的简化模型
5. 分析比较受控源与独立源,总结它们之间的区别和联系。
二、知识应用
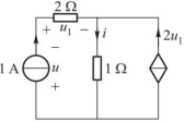
1、判断图 2.9.3 所示电路中受控源类型,判断图示受控源支路量 2u1 为电流还是电压?并求解支路量 2u1。

图2.9..3 受控源习题 1 图
2、判断图2.9.4(a)、(b)所示电路中受控源类型,并求解支路量 2i1。

图2. 9.4 受控源习题 2 图
3、观察图2.9.5所示电路,

图2.9.5 受控源习题 3 图
1) 判断图示受控源为受控电压源还是受控电流源?
2) 写出受控源受控特性表达式;
3) 已知图中存在等式关系:-u1+5i1+u2=0,求解图示电压 u2。
























