网络函数
-
1 课前导学
-
2 课程视频
-
3 课程内容
上一节
下一节
知识点1 网络函数
导学关键:通过知识点挖掘了解电路频率响应的概念;了解网络函数引入的意义,理解网络函数的性质及形式;掌握网络函数的计算方法;
视频预习任务:12.1
一、知识点挖掘:
1、电路和系统的频率响应跟 有关。
2、电路的频率响应可以用 函数来表示和阐述。
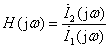
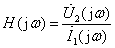
3、在线性正弦稳态网络中,当只有一个独立激励源作用时,网络中某一处 与网络 之比,称为该响应的网络函数。
4、如图1.1所示,网络函数与 、 、 、 有关。
5、网络函数H(jω) 是一个复数,它的频率特性分为 和 两个部分。
6、网络函数中jω的最高次方的次数定义为网络函数的 。
7、由网络函数能求得网络在任意正弦激励输入时,端口的 。
图1.1 线性网络电路
二、归纳总结:
通过视频学习,请总结求网络函数的步骤与注意事项。






