-
1 课前导学
-
2 课程视频
-
3 课程内容
知识点3: 非正弦周期信号的有效值、平均值和平均功率
导学关键:通过知识点挖掘了解非正弦周期电流电路的有效值、平均值和平均功率的计算,了解有效值与平均值的不同,了解有效值公式中各分量的意义。了解平均功率的物理意义,能明白非正弦周期电流和电压同次谐波间才能产生平均功率。通过归纳总结引导学生对平均功率计算深度理解,学生能初步掌握不同非正弦周期电流和电压产生的功率。阅读资料了解傅里叶的基本知识。
观看学习通视频14.3
一、知识点挖掘:(课前学习)
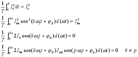
1、非正弦周期电流的有效值公式为 、它是 分量和 分量的 的平方和的方根。
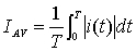
2、非正弦周期电流的平均值等于 的平均值。
3、查资料了解测量非正弦周期量的平均值要用 仪表,测量非正弦周期量的有效值要用 仪表。
4、非正弦周期量的有效值和平均值 (填“有”或“没有”)固定的比例关系,它们随着波形不同而不同。
5、非正弦周期电流电路的平均功率等于 的功率与 的平均功率之和。
6、三角函数的正交性是指:任意两个 的正弦函数在一个周期上的积分为 。
二、归纳总结:(课中总结)
通过视频学习,分析总结平均功率的计算,试着说明任意给出的非正弦周期电压与电流在什么情况下才能产生功率,功率中含有的频率成分由什么决定?
三、知识应用:(课中思考与应用)
某非正弦周期电流电路端口处的电压、电流分别为
![]()
,试着求出该非正弦周期电流电路的有效值U、有效值I和平均功率P。
四、扩展阅读:(课后阅读,写写自己的读后感)

傅立叶简介:
傅立叶生于法国中部欧塞尔(Auxerre)一个裁缝家庭,8岁时沦为孤儿,就读于地方军校,1795年任巴黎综合工科大学助,1798年随拿破仑军队远征埃及,受到拿破仑器重,回国后被任命为格伦诺布尔省省长。
傅立叶早在1807年就写成关于热传导的基本论文《热的传播》,向巴黎科学院呈交,但经拉格朗日、拉普拉斯和勒让德审阅后被科学院拒绝,1811年又提交了经修改的论文,该文获科学院大奖,却未正式发表。傅立叶在论文中推导出著名的热传导方程 ,并在求解该方程时发现解函数可以由三角函数构成的级数形式表示,从而提出任一函数都可以展成三角函数的无穷级数。傅立叶级数(即三角级数)、傅立叶分析等理论均由此创始。
傅立叶由于对传热理论的贡献于1817年当选为巴黎科学院院士。
1822年,傅立叶终于出版了专著《热的解析理论》(Theorieanalytique de la Chaleur ,Didot ,Paris,1822)。这部经典著作将欧拉、伯努利等人在一些特殊情形下应用的三角级数方法发展成内容丰富的一般理论,三角级数后来就以傅立叶的名字命名。傅立叶应用三角级数求解热传导方程,为了处理无穷区域的热传导问题又导出了当前所称的"傅立叶积分",这一切都极大地推动了偏微分方程边值问题的研究。然而傅立叶的工作意义远不止此,它迫使人们对函数概念作修正、推广,特别是引起了对不连续函数的探讨;三角级数收敛性问题更刺激了集合论的诞生。因此,《热的解析理论》影响了整个19世纪分析严格化的进程。傅立叶1822年成为科学院终身秘书。
阅读这个资料,你从中收获了什么、感悟了什么,对我们的电路学习有什么帮助?以简洁的文字说一说。






