第一节 糖蛋白

★糖蛋白(glycoprotein):以蛋白质为主体,在多肽链上共价连接寡糖链形成的生物大分子
★特点:以蛋白质为主体,糖占比变动大,表现为蛋白质的特性
★分布:生物膜与细胞外液

一、糖蛋白的结构
★单糖的种类:
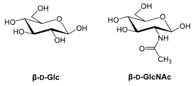
· 葡萄糖(glucose, Glc)
· N-乙酰葡萄糖胺(N-acetyl glucosamine, GluNAc)
·半乳糖(galactose, Gal)
·N-乙酰半乳糖胺(N-acetyl galactosamine, GalNAc)
· 甘露糖(mannose, Man)
· 岩藻糖(fucose, Fuc)
· N-乙酰神经氨酸(N-acetylneuraminic acid, NeuAc)
· 又称唾液酸(sialic acid, SA)
· 木糖(xylose, Xyl)

与蛋白质的连接方式

(一)N-连接糖蛋白
★糖链与蛋白质 Asn 残基的酰胺氮以共价键连接
★糖基化位点 (glycosylation site):
· N-连接糖蛋白中 Asn-X-Ser/Thr 三个氨基酸残基的序列子称为糖基化位点
★寡糖链的结构特点:
· 都有一个 5 糖核心
· 在核心的基础上添加糖基,形成天线状结构
· 有高甘露糖型、复杂型和杂合型 3 种亚型
N-连接糖蛋白的结构类型




N-连接糖蛋白寡糖链的合成
★N-连接寡糖的合成在内质网和高尔基体中进行
· 以内质网上的长萜醇(dolichol)作为糖链载体

· 先合成含 14 糖基的寡糖链,然后转移至肽链的糖基化位点上
· 进一步在内质网和高尔基体进行加工
· 由特异的糖基转移酶或糖苷酶催化完成
· 糖基必须活化为 UDP、GDP 等的衍生物
N-连接糖蛋白寡糖链的合成

(二)O-连接糖蛋白
★糖链与蛋白质 Ser/Thr 残基的羟基以共价键连接
· 未发现明确的糖基化位点
· 连接方式多样:GalNAc、GlcNAC、Gal、Man、Fuc、Xyl……
★寡糖链的结构特点:
· 往往含有 2 糖核心:Gal/NeuAc-GalNAc
· 在核心的基础上进一步重复或添加糖基
· 没有典型的结构特征
O-连接糖蛋白的结构
Leukosialin
白细胞唾液酸蛋白
CD43
DAF
衰变加速因子
CD55
LDLR
低密度脂蛋白受体
O-连接糖蛋白寡糖链的合成
★O-连接寡糖的合成在内质网和高尔基体中进行
· 不需要糖链载体
· 利用糖基转移酶在 Ser/Thr 羟基上添加 GalNAc,形成 O-连接
· 进一步转移其他糖基
· 糖基必须活化 UDP、GDP 等的衍生物





