糖原合成与分解
上一节
下一节
第七节 糖原的合成与分解
★糖原(glycogen)是动物体内葡萄糖的储存形式,淀粉是植物的葡萄糖储存形式
★下图为肝细胞的电镜照片及糖原结构示意图
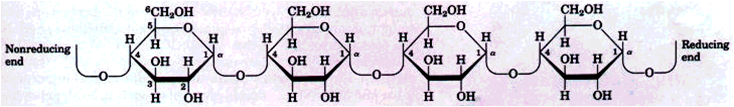
糖原的结构
★主链为α-1,4- 糖苷键
★分枝为α-1,6 -糖苷键
★每 8~12 个葡萄糖单位即出现一处分枝
★肝脏与肌肉中均含糖原,肝糖原约 100g,肌糖原约 400g


