脂类的一般概念
上一节
下一节
类 脂

★类脂(lipoid)包括磷脂、糖脂、胆固醇及胆固醇酯
· 磷脂(phospholipids):含有磷酸基团,包括甘油磷脂和鞘磷脂
· 糖脂(glycolipids):含有神经氨酸和糖基
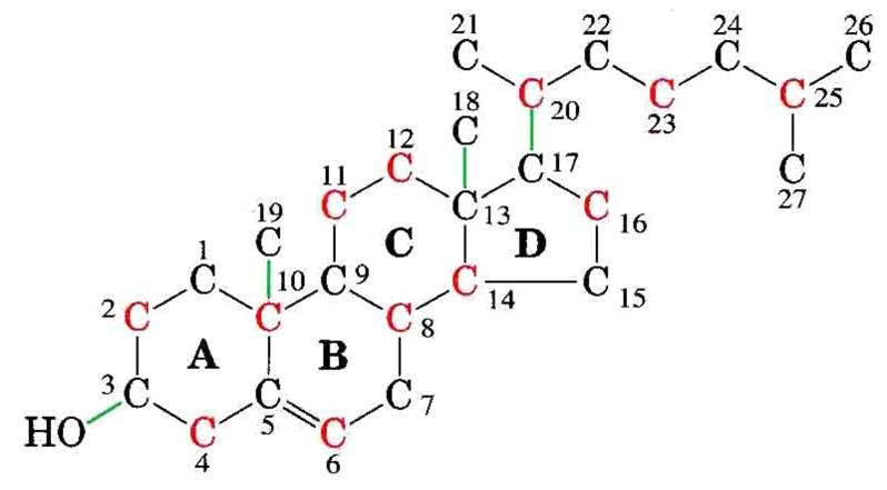
· 胆固醇(cholesterol):羟基可与脂肪酸成酯
甘油磷脂

X = 胆碱、乙醇胺、丝氨酸、甘油、肌醇、磷脂酰甘油等
鞘磷脂

X----磷脂胆碱 、磷脂乙醇胺
胆固醇及胆固醇酯 

胆固醇-FA

