核苷酸的抗代谢物
上一节
下一节
嘌呤核苷酸抗代谢物

★嘌呤类似物:6-巯基嘌呤(6-MP),IMP 类似物
★作用:
· 抑制 IMP 转变为 AMP 与 GMP
· 抑制 HGPRT 活性
· 反馈抑制 PRPP 酰胺转移酶活性

氨基酸类似物

★Gln 类似物:氮杂丝氨酸及 6-重氮-5-氧正亮氨酸
★作用:抑制嘌呤核苷酸从头合成

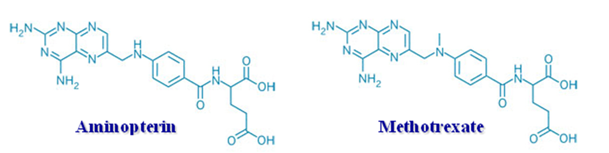
四氢叶酸类似物

★FH4类似物:氨基蝶呤与甲氨蝶呤
★作用:抑制二氢叶酸还原酶,干扰嘌呤核苷酸从头合成

嘧啶核苷酸的抗代谢物

★阿糖胞苷:抑制 CDP 还原,干扰 DNA 合成
★5-氟尿嘧啶:转变为相应核苷酸,是 dUMP 的类似物,干扰 dTMP 合成

AZT

★3,-叠氮-3,,5,-双脱氧胸苷酸
★在体内转变为核苷三磷酸形式,作为胸苷酸类似物干扰 DNA合成
★可抑制爱滋病病毒的复制
本章的主要内容

★掌握
嘌呤、嘧啶核苷酸从头合成途径以及补救合成途径的生理意义
合成途径的关键步骤、关键酶和重要的中间产物
脱氧核糖核苷酸的生成方式
嘌呤、嘧啶核苷酸分解代谢的产物
★熟悉
代谢缺陷的相关疾病
★了解
核苷酸的主要抗代谢物

