胆红素在肝细胞摄取和转化
上一节
下一节
胆红素在肝中的转变为结合胆红素并分泌入胆小管

Conjugation

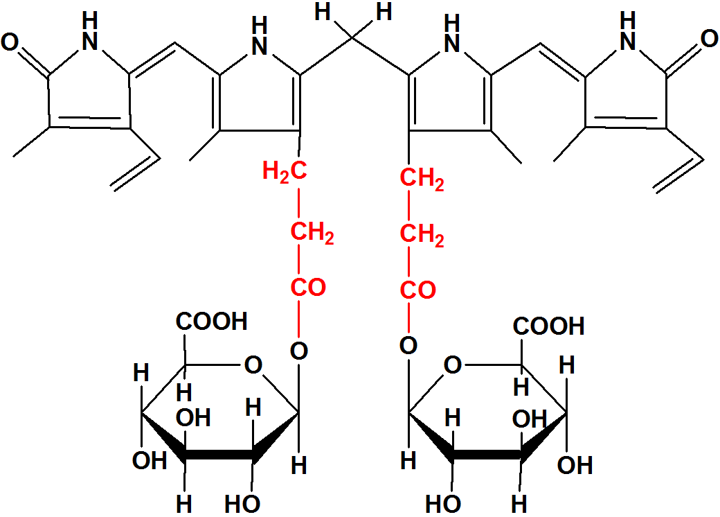
structure of bilirubin diglucuronide

结合胆红素和未结合胆红素区别

目录
胆红素在肝中的转变为结合胆红素并分泌入胆小管

Conjugation

structure of bilirubin diglucuronide

结合胆红素和未结合胆红素区别
