-
1 理论教学
-
2 实践演练

![]()
掌握核苷酸的酶促降解。
![]()
(一)核苷酸的降解
在生物体内,核苷酸在核苷酸酶(nucleosidase)的催化下,水解生成核苷和磷酸。
核苷经核苷酶(nucleosidase)作用分解为含氮碱和戊糖。分解核苷的酶有两类:一类是核苷水解酶(nucleoside hydrolase),另一类是核苷磷酸化酶(nucleoside phosphorylase)。前者使核苷生成含氮碱和戊糖;后者使核苷生成含氮碱和戊糖的磷酸酯。
核苷酶主要存在于植物和微生物体内,只作用于核糖核苷,对脱氧核糖核苷无作用,反应是不可逆的。
核苷磷酸化酶存在比较广泛,其所催化的反应是可逆的。不同来源的酶对底物要求不一,有的能作用于核苷和脱氧核苷,有的则对戊糖要求严格。这类酶还有嘌呤核苷磷酸解酶与嘧啶核苷磷酸解酶之分。
核苷的降解产物嘌呤碱和嘧啶碱还可进一步分解。
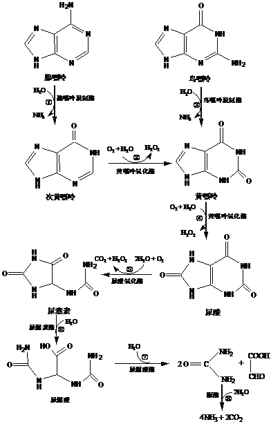
(二)嘌呤的降解
在生物体内嘌呤可进一步分解。嘌呤碱的降解代谢过程如图:

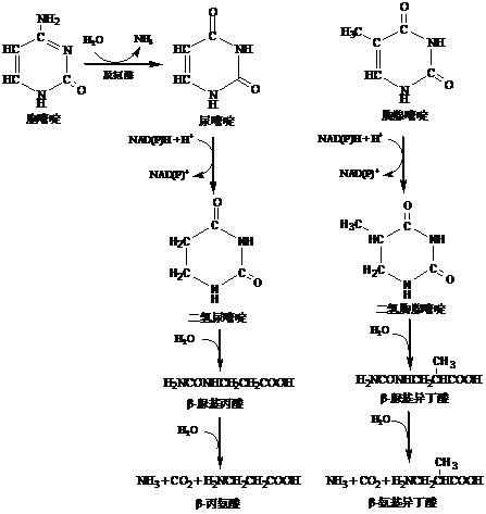
(三)嘧啶的降解 不同生物分解嘌呤碱的最终产物不同。人类和其他灵长类动物的嘌呤代谢一般止于尿酸,灵长类以外的哺乳动物可生成尿囊素,大多数鱼类则生成尿素,一些海洋无脊椎动物可生成氨;微生物能将嘌呤分解成氨、CO2及一些有机酸,如甲酸、乙酸、乳酸等;植物的嘌呤代谢与动物相似。植物组织中存在着与嘌呤代谢有关的酶及其代谢产物,如尿囊素和尿囊酸等。嘌呤的分解主要是在衰老的叶子及贮藏性的胚乳组织内。在胚和幼苗中不发生嘌呤的分解。当叶子进入衰老期,核酸就发生分解,生成的嘌呤碱也进一步分解成尿囊酸,从叶子中运出并贮藏起来,供翌年生长之用。植物与动物不同,植物有保存并再度利用同化氮的能力。
嘧啶的降解也是先脱氨基。由尿嘧啶分解生成的-丙氨酸可用于合成辅酶A,也可经转氨反应生成甲酰乙酸,再转化成乙酸进入三羧酸循环或转化为脂肪酸。嘧啶分解过程如图:

![]()
痛风
嘌呤经过一系列代谢变化,最终形成的产物叫酸。尿酸在人体里没有什么生
理功能,在正常情况下,体内产生的尿酸2/3由肾脏排出,1/3由大肠排出。体内的尿酸是在不断地生成和排泄,因此它在血液中维持一定的浓度。在嘌呤的合成与分解过程中,有多种酶的参与,由于酶的先天性异常代谢发生紊乱,使尿酸的合成增加或排出减少,均可引起高尿酸血症。当血尿酸浓度过高时,尿酸即以钠盐的形式沉积在关节、软组织、软骨和肾脏中,引起组织炎症从而形成痛风。
![]()

