一、概述
抗菌类药物主要是指用于治疗由病原体(细菌、真菌、病毒)所引起的疾病的药物。
抗生素的概念:抗生素一般是指在某些微生物的代谢中所产生的化学物质,这些物质在很低的浓度下能抑制或杀灭其他微生物,而对宿主不会产生严重的毒性。
抗生素的用途
临床:抑制病原菌生长,治疗细菌感染性急病
免疫:抑制和刺激植物生长作用
广范用于医疗、农业、畜牧、食品、工业方面
二、细菌简介
演化细菌在三十多亿年前就生存于地球上
(划重点:与其说人类是地球的主人,不如说地球的主人是微生物)
细菌分裂倍增的必须时间,称为代时(Generation time),细菌的代时决定于细菌的种类又受环境条件的影响,细菌代时一般为20~30分钟。
由于细菌超强的繁殖能力和变异能力,人类想完全消灭细菌是不可能的!!!
其实人体和细菌与其说是寄生和宿主的关系,不如把细菌看成人体的一部分。人类基因组里面2万多个基因,有不少都来自于共生细菌基因的转导。细菌的基因有极低的概率直接跨物种甚至跨界整合进入植物动物基因组。
细菌在显微镜下有各种“身材”形状,有球形的(球形身材也是身材啊,^_^)、杆状的、链球形的等。细菌的命名就是依照“身材”命名的,比如葡萄球菌、大肠杆菌、肺炎链球菌等,如下图所示:






在抗菌药出现之前,人类对抗细菌主要依靠自身的免疫细胞(immune cell)俗称白细胞,包括先天性淋巴细胞、各种吞噬细胞等和能识别抗原、产生特异性免疫应答的淋巴细胞等。
下图是白细胞吞噬细菌的动态图片,为真实拍摄,倍速播放的效果。


三、抗生素
1、抗生素发展历史
1929年发现青霉素,1940年青霉素作为药品上市
1944年 链霉素
1947年 氯霉素
1948年 金霉素
1949年 四环素
1950年 土霉素
1952年 红霉素
1957年 卡那霉素
微生物学家来到污水沟旁、垃圾堆上、沃野之中“淘金”——采集样本、筛选菌种,揭开了大规模筛选抗生素的时代。
科学家们又陆续发现了100多种抗生素,但自1987年起就没有新抗生素问世,缺乏新药和过度用药使细菌的耐药性与日俱增。
青霉素的发现者是英国细菌学家弗莱明。
一天,弗莱明在他的一间简陋的实验室里研究导致人体发热的葡萄球菌。由于盖子没有盖好,他发觉培养细菌用的琼脂上附了一层青霉菌,这是从楼上的一位研究青霉菌的学者的窗口飘落进来的。使弗莱明感到惊讶的是,在青霉菌的近旁,葡萄球菌忽然不见了。
这个偶然的发现深深吸引了他,他设法培养这种霉菌进行多次试验,证明青霉素可以在几小时内将葡萄球菌全部杀死。弗莱明据此发明了葡萄球菌的克星—青霉素。
1929年,弗莱明发表了学术论文,报告了他的发现,但当时未引起重视,而且青霉素的提纯问题也还没有解决。
1935年,英国牛津大学生物化学家钱恩和病理学家弗罗里对弗莱明的发现大感兴趣。钱恩负责青霉菌的培养和青霉素的分离、提纯和强化,使其抗菌力提高了几千倍,弗罗里负责对动物观察试验。至此,青霉素的功效得到了证明。
弗罗里与弗莱明、钱恩同获1945年诺贝尔生理学和医学奖

关于青霉素背后的故事(扩展阅读,以下内容摘自网络,**为和谐用语)
弗莱明把这个现象(发现青霉素)发表在 1929 年 2 月 13 日的英国《实验病理学杂志》上。
文章发表后并没有引起很大的反响。而弗莱明本人在后续的研究中也发现:
①培养青霉菌真**难。
②即使培养成功,后续的分离提纯更难。
③即使分离成功青霉素在在人体内的作用时间或许不足以杀死细菌……
以上种种原因让他觉得:我靠,白瞎了,谁**爱玩自己玩去,老子不玩啦!
1935年弗莱明终于放弃进行深入的研究转而钻研磺胺,不过那株青霉菌却幸运的被弗莱明连续传代了12 年。
如果说是弗莱明推开了一条门缝,那一定是弗洛里把那扇门彻底打开。因为在以后的日子里这三个问题都会被在后者的带领下一一解决。

二战时的海报,因为有了青霉素,士兵可以活着回家了。
弗洛里 1898 年出生于澳大利亚,1921 年前往牛津大学读书,后在牛津大学担任病理学教授。他在 1938~1939 年对已知的由微生物产生的抗生物质进行了系统的研究。弗莱明发现的青霉素是最引起他注意的物质之一。
弗洛里花了大量的精力,招聘了一堆女孩儿给极低的工资,就靠这些女孩培养霉菌,当时牛津大学,你要是那个时候穿越回去看,没法看,所有能够装水的地方,甭管是一个烧杯还是浴缸全部在培养青霉菌,这些女孩被称之为叫青霉女孩,她们拼命试拼命试,至少证明一点青霉素是有效的,但是刚才我们讲的剂量问题仍然没有解决。
人类非常有幸第二个巧遇和神秘时刻,很快就到来。有一天佛罗里手下一个研究员在水果市场上买水果,发现一只在角落里的哈密瓜,长满了霉菌,就是已经发霉了,没法吃了,但是这个实验员一看这个哈密瓜上的霉菌骨骼清奇,望之不似池中之物长得很奇怪,跑到实验室。
一做实验发现,果然这种青霉的菌种可以把剂量提高两千多倍,这是一个多么幸运的时刻,当然不止这个人,当时美国人也参与进来,美国的那些大的制药公司也参与进来,就这样从一到两千多倍,到几万倍几十万倍,这样一点一点的提高。
1939 年,他和德裔生物化学家钱恩决定对青霉菌培养物中的活性物质——青霉素进行提取和纯化,经过 18 个月的艰苦努力,他们终于得到了 100mg 纯度可满足人体肌肉注射的黄色粉末状的青霉素。
他们发现,加入 100 万倍溶剂配制成的青霉素溶剂,就可以阻止老鼠身上链球菌的生长。接着他们进行了人体实验,开始情况不错,但病人体内的细菌尚未完全消灭前,他们提炼的青霉素却已经用完了,虽然病人最终不治身亡,但青霉素的有效却已得到了充分的证明。
1940 年春天,他们又进行多次动物感染实验,结果都非常令人满意。于是同年 8 月,钱恩和弗洛里等人把对青霉素的重新研究的全部成果都刊登在著名的《柳叶刀》杂志上。
青霉素的曲折命运
青霉素再次发现之后,它的命运仍十分坎坷。牛津大学不仅拒绝为钱恩申请青霉素的专利保护,而且还拒绝了钱恩组建试验工厂以进一步探索工业化生产青霉素条件的要求。弗洛里等人四处奔波,希望英国的药厂能大量投产这一大有前途的新药,遗憾的是多数药厂都借口战时困难而置之不理。最后,他们带着满身的疲惫和残存的希望,远涉重洋,来到了美国。
在这片美洲大陆上,弗洛里和钱恩惊喜地发现,早在他们研究青霉素结构的同时,美国就已经大规模地开展了该项研究。参加该项计划的有大约200 多名化学家,他们有的来自研究机构,也有的来自工厂企业。
在牛津的工作者处境则极为困难,他们手中只有2克青霉素,其中1.5g纯度只有50%。而在美国的一个研究小组——Merck 小组就拥有几百克的结晶青霉素。在美国,弗洛里等人终于得到了自己需要的帮助。
青霉素应用之初,不仅一般人对它表示怀疑,就连多数医务工作者也不相信它的药效。直到1944年,英美联军在诺曼底登陆,开辟了第 2战场,开始大规模地同德国法西斯作战,受伤的士兵越来越多,对抗菌药物的需要也越来越迫切,青霉素在医治伤员时显示了极大的威力。
活生生的事实使得医护人员不得不对青霉素刮目相看。更重要的是,青霉素在治疗战伤方面的奇妙作用,引起了军事指挥人员的关注。一位陆军少将由衷地称赞道,青霉素是治疗战伤的一座里程碑。
在军方的大力支持下,青霉素开始走上了工业化生产的道路。
到1942年6月,库存青霉素已经能够治疗10个病人了。到1943年,已经能够提供给军队使用了,到秋天,已经能够在战区使用,但成本还是很高,20美元一个剂量,因此只能给有生命危险的伤员使用。1943年,军方占用了青霉素产量的85%,为2310亿单位,到1944年,产量达到16330亿单位,在诺曼底登陆时,盟军有3000亿单位、10万剂量青霉素的储备,1945年青霉素产量达到79520亿单位,1946年每剂成本只有55美分。
2.β-内酰胺类
(1)青霉素类
青霉素类抗生素包括天然青霉素类、半合成青霉素类两大类。
天然青霉素是霉菌属的青霉菌所产生的一类抗生素。


(2)头孢菌素类——先锋霉素
头孢菌素又称先锋霉素,天然头孢菌素是由头孢菌属的真菌所产生的抗生素。

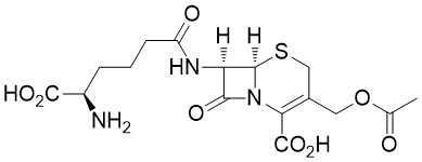
天然头孢菌素C

头孢菌素类抗生素是目前广泛使用的一种抗生素。
头孢菌素类分子中含有头孢烯的半合成抗生素。本类药可破坏细菌的细胞壁,并在繁殖期杀菌。对细菌的选择作用强,而对人几乎没有毒性,具有抗菌谱广、抗菌作用强、耐青霉素酶、过敏反应较青霉素类少见等优点。所以是一类高效、低毒、临床广泛应用的重要抗生素。
目前已发展了四代头孢菌素药物。
第三代头孢菌素
对多种β-内酰胺酶稳定,对革兰氏阳性菌和阴性菌均有显著的抗菌活性。与第一、二代相比,其抗菌谱更广,抗菌活性更强。特别对革兰氏阴性杆菌的抗菌谱广、抗菌作用强。代表药物包括头孢噻肟、头孢唑肟、头孢曲松和头孢他啶等。
第四代头孢菌素
这是近些年才出现的新品种头孢菌素,对多种β-内酰胺酶的稳定性很好。代表药品有头孢匹罗、头孢唑南等。
3、四环素类抗生素
四环素类抗生素是由放线菌产生的一类广谱天然抗生素及半合成抗生素,其结构均为菲烷的基本骨架。(就是四个并环结构,所以叫“四环素”)

4、氯霉素类抗生素
氯霉素是1947年在委内瑞拉
由链霉菌培养液中得到。

5、大环内酯类抗生素
大环内酯类抗生素是由链霉菌产生的一类弱碱性抗生素,对革兰阳性菌、支原体等有较强的作用。

6、氨基糖苷类抗生素
氨基糖苷类抗生素是由链霉菌等所产生的具有氨基糖苷结构的抗生素。
万古霉素曾被称为对抗细菌的“最后一道防线”!

7、抗生素小结
抗生素的抗药性一般在十年内即会出现
严禁滥用抗生素
2014年,世界卫生组织宣布,后抗生素时代(人们可能死于普通感染和小伤)可能于本世纪开始
(严禁滥用抗生素的科普视频,视频来自网络,版权归原作者)

