染料中间体的基本化学过程
上一节
下一节
11.3 染料中间体的基本化学过程
1、芳香亲电取代反应

卤化、硝化、磺化

2、亲核取代反应和取代基的转换
硝基还原反应、氨解反应、磺酸基碱熔反应、N-烷基化反应

3、缩合反应
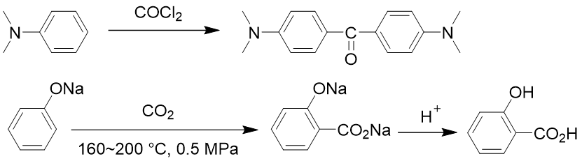
醛、酰氯和芳胺的缩合、羧化反应、环化缩合

目录
11.3 染料中间体的基本化学过程
1、芳香亲电取代反应

卤化、硝化、磺化

2、亲核取代反应和取代基的转换
硝基还原反应、氨解反应、磺酸基碱熔反应、N-烷基化反应

3、缩合反应
醛、酰氯和芳胺的缩合、羧化反应、环化缩合
