分光计的调节与使用
分光计是一种比较精密的光学仪器,可用来测量各种光线之间的角度。其基本原理是:让光线通过狭缝和聚焦透镜形成一束平行光线,经过光学元件的反射或折射后进入望远镜物镜并成像在望远镜的焦平面上,通过目镜进行观察和测量各种光线的偏转角度。许多光学量,如折射率、波长、衍射角等,都可以用分光计来测定。
实验目的
1.了解分光计的结构及基本原理;
2.掌握分光计的基本调整方法;
3.利用分光计进行一些光学参数的测量(三棱镜的顶角);
4.了解系统误差的产生与消除。
仪器结构
分光计由以下四个主要部件组成:平行光管(使入射光成为平行光)、望远镜(观测平行光线)、载物平台(放置光学元件)和读数装置(精确测量角度)。
望远镜
望远镜用来观察和确定光线的方向,它由物镜、目镜组、分划板、照明灯泡等组成。
目镜组由场镜和目镜组成。我们用的分光计的目镜组是阿贝自准式。在场镜前有一刻有两条水平线(下边的一条水平线是水平直径)和一条竖直直径组成的分划板。在分划板靠近场镜的一侧下方有一个全反射小棱镜,小棱镜紧贴分划板的一侧刻有一透光的“十”字窗(十字水平线与分划板上水平线对称),棱镜下方照明灯发出的光照亮十字窗,从目镜中观察到一个明亮的绿色十字刻线,简称为绿十字。
载物平台
载物平台用来放置光学元件,如棱镜、平面镜、光栅等。载物平台下方有三个调节螺丝,可调节平台的水平。松开平台下的固定螺丝,可使平台沿轴升降,以适应高低不同的被测对象。
平行光管
平行光管的作用是产生平行光。其一端装有会聚透镜,另一端装有套筒,其顶端为一宽度可调的狭缝。改变狭缝和透镜的距离,即当狭缝位于透镜的焦平面上时,就可使照在狭缝的光经过透镜后成为平行光。
读数装置
读数装置由主刻度盘和与它同心的游标盘组成。沿游标盘相距180°对称安置了两个游标。载物台可与游标盘锁定,望远镜可与刻度盘锁定。主刻度盘分度值为0.5°,小于0.5°的角度可由游标读出。游标共有30个分度,因此最小分度值为1'。其读数方法与游标卡尺类似。
设置对称的两个游标是为了消除主刻度盘几何中心与游标盘几何中心偏离而带来的系统误差,及偏心差。
实验原理
分光计常用于测量入射光与出射光之间的角度,为了能够准确测量角度,在使用之前,我们需要对分光计进行调节,要满足以下条件:
1.使平行光管出射平行光
2.使望远镜接收平行光。
3.望远镜和平行光管的光轴及载物台台面与分光计的中心轴垂直。
二、望远镜调节
第一步:目镜调焦
目镜调焦的目的是使眼睛通过目镜能很清楚地看到目镜中分划板上的刻线,调焦方法:接通仪器电源,一边调节目镜调焦手轮,一边从目镜中观察,直到分划板刻线成像清晰,无视差。旋转目镜装置,使分划板水平刻线处于水平状态。
第二步:望远镜调焦
望远镜调焦的目的是将分划板上十字刻线调整到焦平面上,也就是望远镜对无穷远聚焦。在物镜前放一平面镜,前后调节目镜组(连同分划板)与物镜间的距离,根据自准直关系,当分划板位于物镜的焦平面时,绿十字的光经物镜投射到平面镜,反射回来的光经物镜后又在分划板上方成像。
其方法如下:将双面反射镜紧贴望远镜镜筒,从目镜中观察,找到从双面反射镜反射回来的绿十字像,前后移动目镜装置,对望远镜调焦,使绿十字成像清晰。前后移动目镜装置,使绿十字像与分划板上十字刻线无视差,最后锁紧目镜装置锁紧螺丝。
这时望远镜的分划板平面、物镜焦平面和目镜焦平面重合,望远镜已聚焦于无穷远处,能观察平行光了。
(1)将双面反射镜放在载物台上,使镜面处于任意两个载物台调平螺丝间连线的中垂面
(2)由于望远镜视野很小,观察的范围有限,要从望远镜中观察到由双面反射镜反射的光线,应首先保证该反射光线能够进入望远镜,转动载物台,使望远镜的光轴垂直双面反射镜,这样双面反射镜反射的光线进入望远镜内。在望远镜内出现清晰的绿十字像,则此像的水平线一般不会与分划板上方的水平线重合。而与分划板上方的水平线有一定的高度差,如图所示。我们采用各半调节法,首先调节望远镜仰角调节螺丝,使高度差h减小一半,如图所示;再调节载物台调平螺丝b或c,使高度差全部消除,如图所示。
各半调节法
(3)旋转载物台,使双面反射镜转过180°,则望远镜中所看到的绿十字像可能又不在准确位置,我们再采用各半调节法。使绿十字像水平线与分划板上方的水平线重合。
(4)重复上述步骤(3),反复调节,逐次逼近,即可较快达到调整要求。使双面反射镜两个面反射的绿十字像均与分划板上方的十字刻度线的水平线重合。
这时,望远镜的光轴与分光计中心轴垂直。此后,望远镜仰角调节螺丝不能再任意调节!
将双面反射镜在平台上转90度,转动平台,使平面镜对准望远镜,找到绿十字像,调节a螺钉,使绿十字像与分划板上方的水平线重合,这样,载物平台也已经调好,台面与分光计中心轴垂直。
四.调节平行光管
当狭缝位于透镜的焦平面上时,就可使照在狭缝的光经过透镜后成为平行光,射向位于平台上的光学元件。如图,具体方法如下:
(1)去掉双面反射镜,打开钠光灯电源,使钠光灯正对着狭缝。
(2)用已调好的望远镜作为基准,正对平行光管观察,调节平行光管狭缝与会聚透镜的距离,在望远镜中能看到清晰的狭缝的像,移动眼睛观看,狭缝像与分划板无视差,这时平行光管发出的光就是平行光。然后调整狭缝锁紧螺丝 ,使狭缝宽度为1毫米左右。
(3)调节平行光管的倾斜度。
将狭缝转至水平,调节平行光管仰角调节螺丝,使狭缝像与望远镜分划板的中心横线重合。然后将狭缝转至竖直方向,调节平行光管水平调节螺丝,使之与分划板十字刻线的竖线重合,并无视差。最后锁紧狭缝装置锁紧螺丝.这时平行光管出射平行光,并且平行光管光轴垂直分光计转轴。
量时狭缝要细,这样读数位置较准确。平行光管调节的总体要求就是狭缝清晰,居中,缝宽适当,无视差。经过以上调整,分光计达到了良好的使用状态!
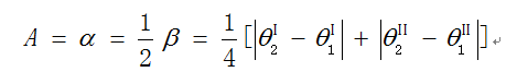
三棱镜顶角测量原理--反射法

上图为反射法测顶角的原理图,由图可知:

二、测三棱镜顶角
测定三棱镜顶角的方法:平行光法(反射法)。我们测量的角为两个光学面的夹角,转动游标盘,使两个游标位于分光计左右两侧(即刻度盘的游标不能位于载物台联结杆的下方,否则无法读出载物台位置的角度读数。),将三棱镜放在载物台上,待测顶角离平行光管远一些并对准平行光管,使平行光管射出的光同时投射到棱镜的两个光学面上,光线分别由AB面和AC反射。
锁紧望远镜支架与刻度盘的联结螺丝及游标盘的制动螺丝.把望远镜对准AB面上的反射光线,使反射光线Ⅰ所成像与分划板竖直线重合,从两游标分别读出望远镜方位角,
同样AC面反射光形成的狭缝像与分划板竖直线重合时,读取另一组数值,代入三棱镜的顶角公式即可算出三棱镜顶角。
松开载物台锁紧螺丝,稍微转动载物台的位置,再固定螺丝,重复测量3次,求出顶角的平均值。
分光计是光学实验常用的精密仪器,构造较复杂,调整起来是有一定困难的,但是只要按要求去做,掌握调整方法,认真细致,最终都能达到要求。从实验中应体会到,精密仪器必须经过精心调整,才能真正发挥仪器测量精密度高的作用。

