钢铁合金是碳钢和铸铁的统称,是工业中应用最广的合金。含碳量为0.0218%~2.11%的称为碳钢,大于 2.11%的称为铸铁。铁碳合金相图是研究铁碳合金最基本的工具,是研究碳钢和铸铁的成分、温度、组织及性能之间关系的理论基础,是制定热加工、热处理、冶炼和铸造等工艺的依据。
铁和碳可形成一系列稳定化合物:Fe3C、Fe2C、FeC。它们都可以作为纯组元看待,但由于含碳量大于Fe3C成分(6.69%C)时,合金太脆,已无实用价值,因此我们所讨论的铁碳合金相图实际上是Fe- Fe3C相图。
一、铁碳合金的组元和相
㈠ 纯铁及铁基固溶体
如前所述,纯铁在固态下有d-Fe、g-Fe和a-Fe三种同素异构体。通常所说的工业纯铁是指室温下的a-Fe,其强度、硬度低,塑性、韧性好。工业纯铁力学性能的大致范围为:
![]()
铁的三种同素异构体都可以溶解一定量的碳形成间隙固溶体。
碳在a-Fe中的固溶体称为铁素体。用符号F或a表示。铁素体为体心立方晶格,其溶碳能力很低,在727°C时最高,为0.0218%, 而在室温下仅为0.0008%。铁素体的组织为多边形晶粒,如图3-23所示。其性能与纯铁相似,即强度、硬度低,塑性、韧性高。
碳在δ-Fe中的固溶体称为δ铁素体,又称高温铁素体,用符号δ表示。δ铁素体也是体心立方晶格,其最大溶碳量为1495°C时的0.09%。
碳在g-Fe中的固溶体称为奥氏体。用符号A或g表示。奥氏体为面心立方晶格,其溶碳能力比铁素体高,1148°C时最大,为2.11%。奥氏体也是不规则多面体晶粒,但晶界较直,如图3-24所示。奥氏体强度低、塑性好,因而钢材的热加工都在奥氏体相区进行。碳钢室温下的组织中无奥氏体,但当钢中含有某些合金元素时,可部分或全部变为奥氏体组织。

㈡ 渗碳体
渗碳体(即Fe3C)是铁与碳的间隙化合物,含碳量为6.69%,用Fe3C或Cm表示。渗碳体的硬度很高(HB»800),塑性和韧性几乎为零。渗碳体在钢和铸铁中一般呈片状、网状或球状存在。它的尺寸、形状和分布对钢的性能影响很大,是铁碳合金的重要强化相。
渗碳体是介稳相,在一定的条件下,它将发生分解:Fe3C ® 3Fe + C,所分解出的单质碳称为石墨,该分解反应对铸铁有着重要意义。由于碳在a-Fe中的溶解度很低,所以常温下碳在铁碳合金中主要以渗碳体或石墨的形式存在。
二、铁碳合金相图的分析
Fe-Fe3C相图如图3-25所示。可以看出,Fe-Fe3C相图由三个基本相图(包晶相图、共晶相图和共析相图)组成。相图中有五个基本相:液相L,高温铁素体相d,铁素体相a,奥氏体相g和渗碳体相Fe3C。这五个基本相构成五个单相区(其中Fe3C为一条垂线),并由此形成七个两相区:L+δ、L+g、L+ Fe3C、δ+g、g+ Fe3C 、g+a和a+ Fe3C。

在Fe-Fe3C相图中,ABCD为液相线,AHJECF为固相线。相图中各特征点的温度、成分及其含义如表3-2所示。
Fe- Fe3C相图中有三条水平线(三相区):
HJB水平线(1495°C)为包晶线,与该线成分(0.09%~0.53%C)对应的合金在该线温度下将发生包晶转变:L0.53 + d0.09 ® g0.17(式中各相的下角标为相应的含碳量),转变产物为奥氏体。
ECF水平线(1148°C)为共晶线,与该线成分(2.11%~6.69%C)对应的合金在该线温度下将发生共晶转变:L4.3 ® g2.11 + Fe3C。转变产物为奥氏体和渗碳体的机械混合物,称为莱氏体,用符号“Le”表示。莱氏体的组织特点为蜂窝状,以Fe3C为基,性能硬而脆。

PSK水平线(727°C)为共析线,与该线成分(0.0218%~6.69%C)对应的合金在该线温度下将发生共析转变:g0.77® a0.0218 + Fe3C。转变产物为铁素体和渗碳体的机械混合物,称为珠光体,用符号“P”表示。珠光体的组织特点是两相呈片层相间分布,性能介于两相之间。共析线又称为A1线。
此外,Fe- Fe3C相图中还有六条固态转变线:
GS、GP为 g ⇄ a 固溶体转变线,HN、JN为δ⇄ g 固溶体转变线,例如,GS线是冷却时铁素体从奥氏体中析出开始、加热时铁素体向奥氏体转变终了的温度线。GS线又称为A3线,JN线又称为A4线。
ES线为碳在g-Fe中的固溶线。在1148°C,碳的溶解度最大,为2.11%,随温度降低,溶解度下降,到727°C 时溶解度只有0.77%。所以含碳量超过0.77%的铁碳合金自1148°C冷至727°C 时,会从奥氏体中析出渗碳体,称为二次渗碳体,标记为Fe3CII。二次渗碳体通常沿奥氏体晶界呈网状分布。ES线又称为Acm线。
PQ线为碳在a-Fe中的固溶线。在727°C,碳的溶解度最大,为0.0218%,随温度降低,溶解度下降,到室温时溶解度仅为0.0008%。所以铁碳合金自727°C向室温冷却的过程中,将从铁素体中析出渗碳体,称为三次渗碳体,标记为Fe3CIII。因其析出量极少,在含碳量较高的合金中不予以考虑,但是对于工业纯铁和低碳钢,因其以不连续网状或片状分布于铁素体晶界,会降低塑性,所以对于Fe3CIII的数量和分布还是要加以控制。
综上所述可见,铁碳合金中的渗碳体根据形成条件不同可分为一次渗碳体Fe3CⅠ(由液相直接析出的渗碳体)、二次渗碳体Fe3CⅡ、三次渗碳体Fe3CⅢ、共晶渗碳体和共析渗碳体五种。它们分属于不同的组织组成物,区别仅在于形态和分布不同,但都同属于一个相。由于它们的形态和分布不同,所以对铁碳合金性能的影响也不相同。
另外,Fe- Fe3C相图中还有两条物理性能转变线:MO线(770°C )是铁素体磁性转变温度。在770°C以上,铁素体为顺磁性物质,在770°C以下,铁素体转变为铁磁性物质。此线又称为A2线;UV线(230°C)是渗碳体磁性转变温度,又称为A0线。
三、典型铁碳合金的平衡结晶过程
铁碳相图上的合金,按成分可分为三类:
⑴ 工业纯铁(<0.0218% C),其显微组织为铁素体晶粒,工业上很少应用。
⑵ 碳钢(0.0218%~2.11%C),其特点是高温组织为单相A,易于变形,碳钢又分为亚共析钢(0.0218%~0.77%C)、共析钢(0.77%C)和过共析钢(0.77%~2.11%C)。
⑶ 白口铸铁(2.11%~6.69%C),其特点是铸造性能好,但硬而脆,白口铸铁又分为亚共晶白口铸铁(2.11%~4.3%C)、共晶白口铸铁(4.3%C)和过共晶白口铸铁(4.3—6.69%C)
下面结合图3-26,分析典型铁碳合金的结晶过程及其组织变化。

㈠ 工业纯铁(图3-26中合金①)的结晶过程
合金液体在1~2点之间通过匀晶反应转变为δ铁素体。继续降温时,在2~3点之间,不发生组织转变。温度降低到3点以后,开始从d铁素体中析出奥氏体,在3~4点之间,随温度下降,奥氏体的数量不断增多,到达4点以后,d铁素体全部转变为奥氏体。在4~5点之间,不发生组织转变。冷却到5点时,开始从奥氏体中析出铁素体,温度降到6点,奥氏体全部转变为铁素体。在6-7点之间冷却,不发生组织转变。温度降到7点,开始沿铁素体晶界析出三次渗碳体Fe3CIII。7点以下,随温度下降,Fe3CIII量不断增加,室温下Fe3CIII的最大量为:

。图3-27为工业纯铁的冷却曲线及组织转变示意图。工业纯铁的室温组织为a+Fe3CIII,如图3-28所示,图中个别部位的双晶界内是Fe3CIII。

㈡ 共析钢(图3-26中合金②)的结晶过程
共析钢的含碳量为0.77%,超过了包晶线上最大的含碳量0.53%,因此冷却时不发生包晶转变,其结晶过程及组织转变示于图3 - 29。合金液体在1 ~ 2 点间通过匀晶反应转变为奥氏体。在2 ~ 3点之间,不发生组织转变。到达3点以后,发生共析转变:g0.77 ® a0.0218 +Fe3C,由奥氏体相同时析出铁素体和渗碳体。反应结束后,奥氏体全部转变为珠光体。继续冷却会从珠光体的铁素体中析出少量的三次渗碳体,但是它们往往依附在共析渗碳体上,难于分辨。共析钢的室温组织为100%的珠光体,如图3-30所示。由图3-30可以看出,珠光体是铁素体与渗碳体片层相间的组织,呈指纹状,其中白色的基底为铁素体,黑色的层片为渗碳体。室温下珠光体中两相的相对重量百分比为:


㈢ 亚共析钢(图3-27中合金③)的结晶过程
含碳量在0.09%~0.53%之间的亚共析钢结晶时将发生包晶反应。现以含0.45%C的钢为例分析亚共析钢的结晶过程,其冷却曲线及组织转变示于图3-31。该合金从液态缓慢冷却到1点后,发生匀晶反应,开始析出d铁素体。到达2点温度时,匀晶反应停止,开始发生包晶转变:L0.53 + d0.09 ® g0.17。包晶转变结束后,除了新形成的奥氏体外,液相还有剩余。温度继续下降,在2-3点之间,剩余的液相通过匀晶反应全部转变为奥氏体。在3-4点之间,不发生组织变化。冷却到4点,开始从奥氏体中析出铁素体,并且随温度的降低,铁素体数量增多。温度降到5点,奥氏体的成分沿GS线变化到S点,此时,奥氏体向铁素体的转变结束,剩余的奥氏体发生共析反应:g0.77 ® a0.0218 + Fe3C,转变为珠光体。温度继续下降,从铁素体中析出三次渗碳体,但是由于其数量很少,因此可忽略不计。亚共析钢的室温组织为珠光体+铁素体,如图3-32所示,图中的白色组织为先共析铁素体,黑色组织为珠光体。
室温下,含0.45%C亚共析钢中先共析铁素体和珠光体两个组织组成物的相对重量百分比为:

而铁素体和渗碳体两相的相对重量百分比为:

在0.0218%~0.77%C范围内珠光体的相对重量随含碳量的增加而增加。由于室温下铁素体中含碳量极低,珠光体与铁素体密度相近,所以在忽略铁素体中含碳量的情况下,可以利用平衡组织中珠光体所占的面积百分比,近似地估算亚共析钢的含碳量:
![]()
㈣ 过共析钢(图3-26中合金④)的结晶过程
过共析钢的结晶过程及组织转变示于图3-33。合金液体在1~2点间发生匀晶转变,全部转变为奥氏体。冷却到3点后,开始沿奥氏体晶界析出二次渗碳体,并在晶界上呈网状分布。在3~4点之间,二次渗碳体量不断增多。温度降到4点,二次渗碳体析出停止,奥氏体成分沿ES线变化到S点,剩余的奥氏体发生共析反应:g0.77 ® a0.0218 + Fe3C,转变为珠光体。继续冷却,二次渗碳体不再发生变化,珠光体的变化同共析钢。过共析钢的室温组织为珠光体 +网状二次渗碳体,如图3–34所示,图中的白色网状的是二次渗碳体,黑色为珠光体。
室温下,含1.2%C过共析钢中二次渗碳体和珠光体两个组织组成物的相对重量百分比为:

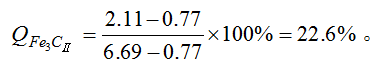
过共析钢中Fe3C Ⅱ的量随含碳量增加而增加,当含碳量达到2.11%时,Fe3C Ⅱ量最大:


㈤ 共晶白口铸铁(图3-26中合金⑤)的结晶过程
共晶白口铸铁的含碳量为4.3%,其结晶过程如图3-35所示。该合金液态冷却到1点即1148°C时,发生共晶反应:L4.3 ® g2.11 + Fe3C,全部转变为莱氏体(Le),莱氏体是共晶奥氏体和共晶渗碳体的机械混合物,呈蜂窝状。此时:
温度继续下降,共晶奥氏体成分沿ES线变化,同时析出二次渗碳体,由于二次渗碳体与共晶渗碳体 结合在一起而不易分辨,因而莱氏体仍作为一个组织看待。温度降到2点,奥氏体成分达到0.77%,并发生共析反应,转变为珠光体。这种由珠光体与共晶渗碳体组成的组织称为低温莱氏体,用符号Le’表示,此时,

温度继续下降,莱氏体中珠光体的变化与共析钢的相同,珠光体与渗碳体的相对重量不再发生变化。共晶白口铸铁的室温组织为Le’(P+ Fe3C),它保留了共晶转变产物的形态特征,如图3-36所示,图中黑色蜂窝状为珠光体,白色基体为共晶渗碳体。室温下两相的相对重量百分比为:


㈥ 亚共晶白口铸铁(图3-26中合金⑥)的结晶过程
以含3.0%C的亚共晶白口铸铁为例进行分析,图3-37为其冷却曲线及组织转变示意图。当合金液体冷却到1点温度时,发生匀晶反应,结晶出奥氏体,称为一次奥氏体或先共晶奥氏体。在1~2点之间,奥氏体量不断增多并呈树枝状长大。冷却到2点以后,剩余液相的成分沿BC线变化到C点,并发生共晶转变,转变为莱氏体。继续降温,将从一次奥氏体和共晶奥氏体中析出二次渗碳体。由于一次奥氏体粗大,沿其周边析出的二次渗碳体被共晶奥氏体衬托出来。而共晶奥氏体析出二次渗碳体的过程,与共晶白口铸铁相同。温度降到3点,奥氏体成分沿GS线变到S点,并发生共析反应,转变为珠光体。其室温组织为P+ Fe3C Ⅱ+Le’,如图3-38所示,图中树枝状的黑色粗块为珠光体,其周围被莱氏体中珠光体衬托出的白圈为二次渗碳体,其余为低温莱氏体。


㈦ 过共晶白口铸铁(图3-26中合金⑦)的结晶过程
过共晶白口铸铁的冷却曲线及组织转变示于图3-39。合金液体在1--2点间发生匀晶反应,结晶出一次渗碳体Fe3CⅠ。一次渗碳体呈粗条片状。冷却到2点,余下的液相成分沿DC线变化到C点,并发生共晶反应,转变为莱氏体。继续冷却,一次渗碳体成分重量不再发生变化,而莱氏体的变化同共晶合金。过共晶白口铸铁的室温组织为Fe3CⅠ+Le’,如图3-40所示,图中粗大的白色条片为一次渗碳体,其余为低温莱氏体。

㈧ 组织组成物在铁碳合金相图上的标注
根据以上对铁碳合金相图的分析,可将组织组成物标注在铁碳合金相图中,如图3-41所示。组织组成物的标注与相组成物的标注的主要区别在g+Fe3C和a+Fe3C两个相区,g+ Fe3C相区中有四个组织组成物区,a+ Fe3C相区中有七个组织组成物区。
用组织组成物标注的相图直观地反映了各合金在不同温度下的组织状态。

四、含碳量对铁碳合金组织和性能的影响
㈠ 含碳量对铁碳合金室温平衡组织的影响
根据杠杆定律的计算结果,可求出铁碳合金的含碳量与缓冷后的相及组织组成物之间的定量关系,如图3-42所示。从相的角度看,铁碳合金在室温下只有铁素体和渗碳体两个相,随含碳量增加,渗碳体的量呈线性增加。但是从组织角度看,随含碳量增加,组织中渗碳体不仅数量增加,而且形态也在变化,由分布在铁素体基体内的片状(共析渗碳体)变为分布在奥氏体晶界上的网状(过 共析钢中的二次渗碳体),最后形成莱氏体时,渗碳体已作为基体出现。
㈡ 含碳量对力学性能的影响

如前所述,铁素体强度、硬度低,塑性好,而渗碳体则是硬而脆的相。亚共析钢随含碳量增加,珠光体量增加,由于珠光体的强化作用,钢的强度、硬度升高,塑性、韧性下降,当成分为0.77%C时, 组织为100% 的珠光体,钢的性能即珠光体的性能。当含碳量大于0.9%时,过共析钢中的二次渗碳体在奥氏体晶界上形成连续网状,因而强度下降,但硬度仍直线上升。含碳量大于2.11%, 由于组织中出现以渗碳体为基的莱氏体,此时因合金太脆而使白口铸铁在工业上很少应用。含碳量对平衡状态下碳钢力学性能的影响如图3-43所示。
㈢ 含碳量对工艺性能的影响
1、切削加工性能:中碳钢的切削加工性能比较好,含碳量过低,不易断削,同时难于得到良好的加工表面;含碳量太高,硬度太大,对刀具磨损严重,也不利于切削。一般说来,钢的硬度为HB170~250时切削加工性能最好。
2、可锻性能:钢的可锻性与含碳量有直接关系,低碳钢的可锻性良好,随含碳量增加,可锻性逐渐变差。由于奥氏体塑性好,易于变形,热压力加工都加热到奥氏体相区进行,但始轧或始锻温度不能过高,以免产生过烧,而终轧或终锻温度又不能过低,以免产生裂纹。
3、铸造性能:共晶成分附近的合金结晶温度低,流动性好,铸造性能最好。越远离共晶成分,液、固相线的间距越大,凝固过程中越容易形成树枝晶,阻碍后续液体充满型腔,铸造性能变差,容易形成分散缩孔和偏析。
4、焊接性能:钢的塑性越好,焊接性能越好,所以低碳钢比高碳钢易于焊接。
5、热处理性能:对热处理性能来说,碳的影响更为明显,这将在第五章详细介绍。

