6.3 偏心受拉构件正截面承载力计算
6.3.1偏心受拉构件的分类
根据偏心拉力N的作用位置不同,将偏心受拉构件分为大偏心受拉构件和小偏心受拉构件两种。
当纵向拉力N作用在As合力点与A's合力点之间时(图6-2a),称为小偏心受拉。构件全截面混凝土裂通,仅由钢筋As和A's提供的拉力As fy和A's f 'y与轴向拉力N平衡,构件的破坏取决于As和A's的抗拉强度。
当纵向拉力N作用在As外侧时(图6-2b),称为大偏心受拉。构件截面As一侧受拉,A's一侧受压,截面部分开裂但不会裂通,构件的破坏取决于As的抗拉强度或混凝土受压区的抗压能力。
可见,大、小偏心受拉构件的本质界限是构件截面上是否存在受压区。由于截面上受压区的存在与否与轴向拉力N作用点的位置有直接关系,所以在实际设计中以轴向拉力N的作用点在钢筋As和A's之间或钢筋As和A's之外,作为判定大小偏心受拉的界限,即:
(1)偏心距e0≤h/2-as时,属于小偏心受拉构件;
(2)偏心距e0>h/2-as时,属于大偏心受拉构件。
6.3.2小偏心受拉构件正截面承载力计算
(1)计算公式
小偏心受拉构件在截面达到极限承载力时,全截面混凝土裂通,拉力全部由钢筋承担,其应力均达到屈服强度 fy。分别对A's及As取矩(如图6-3),可得到矩形截面小偏心受拉构件正截面承载力的基本计算公式:
Ne'≤fy As(h0-as') (6-2)
Ne≤fy As'(h0- as') (6-3)
式中:e'——轴向拉力至钢筋As′合力点之间的距离;
e ——轴向拉力至钢筋As合力点之间的距离。
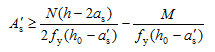
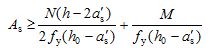
以M=Ne0代入式(6-2)和式(6-3),换算得
(6-4a)
(6-4b)
从式(6-4)可知:公式右端的第一项表示构件承受轴心拉力N所需的配筋;第二项表示由于弯矩M的存在对截面两侧配筋量的影响。也就是说弯矩M在截面内产生了等量的拉应力和压应力,拉应力的存在增加了As的用量,而压应力的存在降低了A's的用量,因此小偏拉构件As与A's的总量等于仅在轴心拉力N作用时的钢筋用量。因此,在设计时,如果有若干组不同的内力组合(M、N)时,应按Nmax、Mmax的内力组合计算As,而按Nmax、Mmin的内力组合计算A's。
(2)截面设计与截面复核
截面设计时,已知轴向拉力N 及作用点的位置(或轴向拉力N 及截面弯矩M),可计算出轴向拉力N是否在As与A's之间,如在As与A's之间,计算出轴向拉力N至As与A's的距离e和e',按式(6-2)、式(6-3)计算出As与A's;或直接按式(6-4)计算。求得的As、A's要满足最小配筋率条件。
承载力复核时,根据已知的As与A's及其设计强度,可由式(6-2)、式(6-3)分别求得Nu值,其中较小者即为构件正截面的极限承载能力。
6.3.3大偏心受拉构件正截面承载力计算
(1)计算公式
大偏心受拉构件在截面达到极限承载力时,截面受拉侧混凝土产生裂缝,拉力全部由钢筋承担,受拉钢筋达到屈服;在对应的另一侧形成受压区,混凝土达到极限压应变,如图6-5所示,由力和力矩平衡条件,可得大偏心受拉构件正截面承载力的基本计算公式:

(6-5)
(6-6)
式中:e——轴向拉力至As合力点之间的距离,e=e0–h/2+ as。
为了保证构件不发生超筋和少筋破坏,使纵向受压钢筋A's应力达到屈服强度,上述公式的适用条件为:
①x≤ξbh0;②x≥2as′;③As≥ρminbh′。
当x<2a′s时,A's不会受压屈服,即A's的应力是未知数,此时式(6-5)和式(6-6)不再适用。这时,可令x=2a's,对A's合力点取矩得到:
(6-7)
式中:e'——轴向拉力至A's 合力点之间的距离e'= h/2–a's+e0。
(2)截面设计
己知截面尺寸(b、h),材料强度(fc 、fy 、fy')及轴向拉力设计值N和弯矩设计值M,要求计算截面所需钢筋As及A's。
当As' 未知时,可按如下步骤进行:
①判别类型。当e0>h/2–a s时为大偏心受拉;
②求As'。为充分发挥受压区混凝土抗压作用,减少受压钢筋用量,令 x=ξbh0 代入式(6-6)求A's;
③求As。将A's 及x=ξbh0 代入式(6-5)得As;
④若As' 太小或出现负值时,可按构造要求选配As',并把 As' 作为已知代入式(6-6)求得x,再代入式(6-5)求As;若x<2as',可由式(6-5)求得As。As要满足As≥ρmin bh;
当As' 已知时,可按如下步骤进行:
①将As' 代入式(6-6)计算x;
②如2as'≤x≤ξbh0成立,将As' 及x代入式(6-5)计算As;
③如果有x<2as',则由式(6-7)计算As,需要满足As ≥ρmin bh;
④如果有x>ξbh0,则表示构件截面尺寸偏小,此时应重新拟定截面尺寸再进行计算。
(3)截面复核
已知截面尺寸(b、h)、材料强度(fc、fy'、fy)以及截面作用效应M 和N,复核截面承载力按下列步骤进行:
①联立解式(6-5)和式(6-6)得x;
②如果x<ξbh0,由式(6-5)计算截面所能承担的轴向拉力N;
③如果x>ξbh0时,则取x=ξbh0代入式(6-5)计算轴向拉力N;
④如果x<2as' 时,则由式(6-7)计算轴向拉力N。
6.3.4 偏心受拉构件斜截面承载力计算
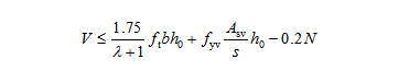
对于偏心受拉构件,截面往往在受到弯矩M及轴力N共同作用的同时,还受到较大的剪力V作用。因此,需验算斜截面受剪承截力。
研究表明,由于轴向拉力的存在,使混凝土的剪压区高度比仅受到弯矩M作用时小,同时轴向拉力的存在也增大了构件中的主拉应力,使得构件中的斜裂缝开展得较长、较宽,且倾角也较大,从而导致构件的斜截面受剪承截力降低。轴向拉力对斜截面受剪承载力的不利影响为0.06N~0.16N,考虑到结构试验条件与实际工程条件的差别,同时考虑拉力的存在对构件抗剪是一不利作用,因此通过可靠度的分析计算,将轴向拉力这种不利影响取为0.2N。
偏心受拉构件承受轴向拉力、弯矩和剪力的作用,可视为受弯构件同时承受轴向拉力的受力状态,因此以受弯构件斜截面受剪承载力计算公式为基础,考虑轴向拉力对斜截面受剪承载力的不利影响,得到矩形、I形、T形截面的偏心受拉构件斜截面受剪承载力计算公式:
(6-8)
式中:λ——计算剪跨比。当承受均布荷载时,取λ=1.5。当承受集中荷载时,取λ=a/h0(a为
集中荷载到支座截面或节点边缘的距离),当λ<1.5时取λ=1.5,当λ>3时取λ=3;
N——与剪力设计值V相对应的轴向拉力设计值。
在式(6-8)中,由于箍筋的存在,至少可以承担大小为
的剪力。所以,当式(6-8)右边的计算值小于
时,应取为
。同时,为了防止箍筋过少过稀,保证箍筋承担一定数量的剪力,
不得小于0.36ftbh0。
同时,偏心受拉构件的截面尺寸应满足下式要求:
V≤0.25βc fcbh0 (6-9)
式中:bc——混凝土强度影响系数:混凝土强度等级低于C50时,bc=1.0;混凝土强度等级高于C80时,bc=0.8;其间按线性内插法确定。
偏心受拉构件斜截面受剪承载力计算的步骤和受弯构件斜截面受剪承载力的计算步骤类似。