3.1 受弯构件的构造要求
所谓构造就是考虑施工、变形及使用等在计算中未考虑的各因素的综合影响而采取的针对性措施。影响混凝土结构性能的因素很多、很复杂。承载力计算时通常只考虑荷载作用,而温度变形、混凝土的收缩与徐变、钢筋的应力松弛和蠕变等对承载力的影响不容易计算,一般采取构造措施加以解决。这些措施主要是根据工程经验而定的,可防止因计算中未考虑或过于复杂而难以考虑的因素对结构构件可能造成的开裂或破坏的影响。因此,混凝土结构构件设计时,除了满足承载力要求以外,还必须满足有关的构造要求。
3.1.1梁的一般构造要求
1.梁的截面尺寸
梁的截面高度h与跨度及荷载大小有关。从刚度要求出发,根据设计经验,通常取多跨连续次梁l/18~l/12;多跨连续主梁、单跨简支梁为l/14~l/8,悬臂梁为l/8~l/6。
梁的截面宽度b,一般根据梁的截面高度h确定:矩形截面高宽比h/b=2~3,T形截面h/b=2.5~4。
梁的截面尺寸应满足承载力、刚度和抗裂要求,同时为了便于设计统一、便于施工,对于现浇钢筋混凝土构件,一般按下述采用:
(1) 矩形和T形截面的高度一般为250 mm、300 mm、…、800mm,每级级差50mm;800 mm以上每级级差100 mm。
(2)矩形截面的宽度和T形截面的腹板宽度一般为100mm、120 mm、150 mm、180 mm、200 mm、220 mm、250 mm和300 mm;300 mm以上每级级差50 mm。
2.梁的配筋
梁中通常配有纵向受拉钢筋、弯起钢筋、箍筋和架立钢筋等,当梁的截面高度较大时,还应在梁侧设置构造钢筋及相应的拉筋,如图3-2a所示。
(1)纵向受力钢筋
纵向受力钢筋用以承受弯矩产生的拉应力和压应力,宜采用HRB335级(Ⅱ级)或HRB400级(Ⅲ级),直径常采用10~32mm。当梁高h≥300mm,纵筋直径不小于10mm;当梁高h<300mm,纵筋直径不小于8mm。同一构件中钢筋直径的种类宜少,若需要采用两种不同直径,钢筋直径至少应相差2mm,以便在施工中能用肉眼识别。
为了便于浇筑混凝土以保证钢筋周围混凝土的密实性,纵筋的净间距应满足图3-2 b所示的要求。若钢筋必须排成两排时,上、下两排钢筋应对齐。
(a)梁的配筋种类 (b)纵筋的净间距
图3-2 梁的钢筋种类及其净距、保护层和有效高度
(2)架立钢筋
不配置受压筋的梁,其上部需要配置两根架立钢筋,作用一是把箍筋固定在正确的位置上,并与梁底纵向钢筋连成钢筋骨架;二是承受因温度变化和混凝土收缩产生的拉应力,防止产生裂缝。架立钢筋的直径与梁的跨度l0有关,一般在10~14毫米之间。当l0<4m时,架立钢筋的直径不宜小于8mm;当l0=4~6m时,其直径不宜小于10mm;当l0>6m,其直径不宜小于12mm。
架立钢筋与受力钢筋的区别是:架立钢筋是根据构造要求配置,通常直径较细、根数较少;而受力钢筋则是根据受力要求按计算配置,通常直径较粗、根数较多。
(3)箍筋
梁箍筋用以承受剪力,联系梁内的受拉及受压纵向钢筋使其共同工作,固定纵筋位置以便于混凝土浇注。宜采用HRB400、HRBF400(Ⅲ级)、HRB500、HRBF500钢筋;也可采用 HRB335、 HRBF335(Ⅱ级)和HPB300钢筋(Ⅰ级),常用直径为6、8、10mm。
(4)弯起钢筋
纵向受拉钢筋在梁支座附近向上弯起,称为弯起钢筋。弯起部分承担剪力作用,弯起后的水平段可以承担梁支座附近的负弯矩。弯起钢筋与箍筋统称为腹筋。
(5)梁侧构造钢筋
《混凝土结构设计规范》规定,当梁的腹板高度hw≥450mm时,在梁的两个侧面应沿高度配置纵向构造钢筋,用于抵抗由于温度应力及混凝土收缩应力在梁侧产生的裂缝,同时与箍筋共同构成网格骨架以利于应力扩散。每侧纵向构造钢筋(不包括梁上、下部受力钢筋及架立钢筋)的截面面积不应小于腹板截面面积bhw的0.1%,且间距不宜大于200mm。梁两侧的纵向构造钢筋宜用拉筋连结,拉筋直径与箍筋直径相同,间距常取箍筋间距的两倍。腹板高度hw,对矩形截面为有效高度,对T形和I形截面取减去上、下翼缘后的腹板净高。
3.1.2板的一般构造要求
1.板的截面尺寸
板的厚度除满足承载力、刚度和抗裂要求外,还应考虑使用要求、施工要求和经济因素。从刚度条件出发,现浇板的厚度不应小于附表3-7规定的数值,单跨简支板的最小厚度不小于l0/35(l0为板的计算跨度),多跨连续板的最小厚度不小于l0/40,悬臂板的最小厚度不小于l0/12。对现浇单向板的最小厚度:屋面板、民用建筑楼板为60mm;工业建筑楼板为70mm;行车道下的楼板为80mm。现浇双向板的最小厚度为80mm。板厚度以10mm为模数。
2.板的配筋
板中通常配有纵向受力钢筋和和分布钢筋,如图3-3所示。
(1)纵向受力钢筋
纵向受力钢筋沿板得跨度方向布置,承担弯矩产生的拉应力。常采用HPB300(Ⅰ级)、HRB400、HRBF400(Ⅲ级)钢筋。直径通常采用6、8、10、12mm。为了便于施工,选用钢筋直径的种类愈少愈好。
图3-3 板的配筋
为了使板内钢筋能够正常地分担内力和便于浇筑混凝土,钢筋间距不宜太大,也不宜太小。当采用绑扎施工方法,板厚h≤150mm时,受力钢筋间距不宜大于200mm;h>150mm时,受力钢筋间距不宜大于1.5h,且不宜大于200mm。同时,板中受力钢筋间距不宜小于70mm。
(2)分布钢筋
分布钢筋布置与受力钢筋垂直,放置于受力钢筋的内侧,交点用细铁丝绑扎或焊接,其作用是将板面上的荷载更均匀地传布给受力钢筋,同时在施工中可固定受力钢筋的位置,并以其抵抗温度、收缩应力。分布钢筋的截面面积不应小于受力钢筋面积的15%,且不宜小于该方向板截面面积的0.15%;分布钢筋间距不宜大于250mm,直径不宜小于6mm。对集中荷载较大的情况,分布钢筋的截面面积应适当增加,其间距不宜大于200mm。
3.1.3纵向受力钢筋的配筋百分率
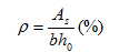
配筋率是钢筋混凝土构件中纵向受力钢筋的面积As与构件的有效面积bh0之比,用ρ表示。
(3-1)
其中,ρ为配筋率;As为受拉或压纵向钢筋的截面面积;b为矩形截面的宽度;h 0为截面的有效高度。
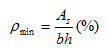
最小配筋率是指,当梁的配筋率ρ很小,梁拉区开裂后,钢筋应力趋近于屈服强度,这时的配筋率称为最小配筋率ρmin。
(3-2)
配筋率是影响构件受力特征的一个参数,控制配筋率可以控制结构构件的破坏形态,不发生超筋破坏和少筋破坏,配筋率又是反映经济效果的主要指标。控制最小配筋率是防止构件发生脆性少筋破坏,设计时应当避免。
3.1.4保护层厚度
保护层厚度是指最外层钢筋(包括箍筋、构造筋、分布筋等)的外缘至混凝土表面的最小距离,用c表示。混凝土保护层有三个作用:①保护纵向钢筋不被锈蚀;②在火灾等情况下使钢筋的温度上升缓慢;③使纵向受力钢筋和混凝土有较好的粘结。
保护层厚度与环境类别和混凝土强度等级有关,厚度值不应小于钢筋的公称直径d,且应符合附表3-2的规定。
保护层最小厚度的规定是为了使混凝土结构构件满足耐久性和对受力钢筋有效锚固的要求。混凝土保护层厚度大,构件的受力钢筋粘结锚固性能、耐久性和防火性能越好。但是,过大的保护层厚度会使构件受力后产生的裂缝宽度过大,就会影响其使用性能(如破坏构件表面的装修层、过大的裂缝宽度会令人恐慌不安),而且由于设计中是不考虑混凝土的抗拉作用的,过大的保护层厚度还必然会造成经济上的浪费。
3.1.5截面有效高度
梁板在达到极限承载力时,混凝土保护层已经开裂甚至脱落,对极限承载力没有贡献。在计算模型简化时,不考虑混凝土的抗拉作用,钢筋所承受的力简化为作用于钢筋合力点,所以计算时采用截面有效高度。
梁的截面有效高度h0为梁截面受压区的外边缘至受拉钢筋合力点的距离,h0= h–as,其中as为受拉钢筋合力点至受拉区边缘的距离。纵筋为一排钢筋时,as=c+dsv+d/2;纵筋为两排钢筋时,as=c+dsv+ d+e/2;其中,c为混凝土保护层厚度,按附表3-2选用;箍筋直径dsv 取常用钢筋直径6mm~12mm的中值10mm;纵筋直径d取常用钢筋直径8mm~32mm的中值20mm;e为上下两排钢筋的净距,一般取e=25mm计算。
板的截面有效高度h0=h–as,受力钢筋一般为一排钢筋,as =c+d/2。截面设计时,取d=10mm计算as。
1. 建筑工程中的梁在截面尺寸、混凝土、钢筋配置方面有那些一般构造要求?
2. 建筑工程中的板在截面尺寸、混凝土、钢筋配置方面有那些一般构造要求?
3. 混凝土保护层的作用是什么?梁、板的保护层厚度按规定应取多少?
4. 梁内纵向受拉钢筋的根数、直径及间距有何具体规定?纵向受拉钢筋什么情况下多层布筋?