[学习指南]
掌握钢筋和混凝土的粘结、锚固的基本原理,为各项构造措施提供理论基础。
[学习重点]
1. 钢筋和混凝土的粘结机理、锚固长度。
[学习难点]
1.钢筋的锚固长度及保证措施。
2.3 混凝土与钢筋的粘结与锚固
2.3.1钢筋与混凝土之间的粘结机理
1.钢筋与混凝土粘结的作用
钢筋与混凝土之间的粘结性能可以用两者界面上的粘结应力来说明。
钢筋与混凝土之间的粘结力与钢筋表面的形状有关。
(1)光圆钢筋与混凝土之间的粘结作用主要由三部分组成:1)化学胶结力;2)摩阻力;3)机械咬合力。光圆钢筋的粘结力主要由化学胶着力和摩阻力组成,相对较小。为了增加光圆钢筋与混凝土之间的锚固性能,减少滑移,光圆钢筋的端部要加弯钩或其它机械锚固措施。
(2)带肋钢筋与混凝土之间的粘结也由化学胶着力、摩阻力和机械咬合力三部分组成。带肋钢筋的粘结性能明显地优于光圆钢筋,有良好的锚固性能。
2. 粘结强度及其影响因素

粘结强度一般用图2-27所示的单轴拉拔试验测定。达抗拔极限状态时,钢筋与混凝土界面上的平均粘结应力用下式表示
(2-28)
式中,N—轴向拉力;d— 钢筋直径;l— 粘结长度。
影响钢筋与混凝土粘结性能的因素很多,主要有钢筋的表面形状、混凝土强度及其组成成分、浇注位置、保护层厚度、钢筋净间距、横向配筋和侧向压力作用等。
2.3.2钢筋的锚固
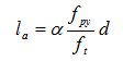
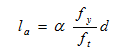
1.受拉钢筋的基本锚固长度
受拉钢筋的基本锚固长度计算公式为
普通钢筋
(2-29)
预应力钢筋
(2-30)
2.受拉钢筋的锚固长度
受拉钢筋的锚固长度在基本锚固长度的基础上,考虑锚固条件,按(2-31)计算,且不应小于200mm。
(2-31)
3.受压钢筋的锚固长度
混凝土结构中的纵向受压钢筋,当计算中充分利用钢筋的抗压强度时,受压钢筋的锚固长度应不小于相应受拉锚固长度的 70%。受压钢筋不应采用末端弯钩和一侧贴焊锚筋的锚固措施。
2.3.3钢筋的连接
钢筋的连接需要满足承载力、刚度、延性等基本要求,应遵循如下基本设计原则:
(1)接头应尽量设置在受力较小处,以降低接头对钢筋传力的影响程度。
(2)在同一钢筋上宜少设连接接头,以避免过多的削弱钢筋的传力性能。
(3)同一构件相邻纵向受力钢筋的绑扎搭接接头宜相互错开,限制同一连接区段内接头钢筋面积率,以避免变形、裂缝集中于接头区域而影响传力效果。
(4)在钢筋连接区域应采取必要构造措施,如适当增加混凝土保护层厚度或调整钢筋间距,保证连接区域的配箍,以确保对被连接钢筋的约束,避免连接区域的混凝土纵向劈裂。
钢筋的连接形式有绑扎搭接、机械连接和焊接:
(1) 绑扎搭接连接;(2) 机械连接;(3) 焊接
一、选择题
1.规范规定的受拉钢筋锚固长度la为( C )。
A.随混凝土强度等级的提高而增大;
B.随钢筋等级提高而降低;
C.随混凝土等级提高而减少,随钢筋等级提高而增大;
D.随混凝土及钢筋等级提高而减小;
二、填空题
1. 钢筋在混凝土中应有足够的锚固长度,钢筋的强度愈大、直径愈长、混凝土的强度愈小,则需要的钢筋锚固长度就愈长。
1.钢筋与混凝土之间的粘结力是如何组成的?
答案:试验表明,钢筋和混凝土之间的粘结力或者抗滑移力,由四部分组成:
(1)化学胶结力:混凝土中的水泥凝胶体在钢筋表面产生的化学粘着力或吸附力,来源于浇注时水泥浆体向钢筋表面氧化层的渗透和养护过程中水泥晶体的生长和硬化,取决于水泥的性质和钢筋表面的粗糙程度。当钢筋受力后变形,发生局部滑移后,粘着力就丧失了。
(2)摩擦力:混凝土收缩后,将钢筋紧紧地握裹住而产生的力,当钢筋和混凝土产生相对滑移时,在钢筋和混凝土界面上将产生摩擦力。它取决于混凝土发生收缩、荷载和反力等对钢筋的径向压应力、钢筋和混凝土之间的粗糙程度等。钢筋和混凝土之间的挤压力越大、接触面越粗糙,则摩擦力越大。
(3)机械咬合力:钢筋表面凹凸不平与混凝土产生的机械咬合作用而产生的力,即混凝土对钢筋表面斜向压力的纵向分力,取决于混凝土的抗剪强度。变形钢筋的横肋会产生这种咬合力,它的咬合作用往往很大,是变形钢筋粘结力的主要来源,是锚固作用的主要成份。
(4)钢筋端部的锚固力:一般是用在钢筋端部弯钩、弯折,在锚固区焊接钢筋、短角钢等机械作用来维持锚固力。
各种粘结力中,化学胶结力较小;光面钢筋以摩擦力为主;变形钢筋以机械咬合力为主。
【案例1】最小锚固长度是如何确定的?
答:达到锚固极限状态时所需要的钢筋最小锚固长度,称为临界锚固长度 。锚固抗力等于钢筋屈服强度 时,相应的锚固长度就是临界锚固长度 ,这是保证受力钢筋真到屈服也不会发生锚固破坏的最小长度。钢筋屈服后强化,随锚固长度的延长,锚固抗力还能增长,到锚固抗力等于钢筋拉断强度 时,相应的锚固长度就是极限锚固长度 。设计锚固长度 应当在临界锚固长度和极限锚固长度之间,前者是为了保证钢筋承载受力的基本性能,后者是因为过长的锚固实际已经不起作用。
【案例2】简述绑扎搭接连接的机理。
答:绑扎搭接钢筋之间能够传力是由于钢筋与混凝土之间的粘结锚固作用。两根相背受力的钢筋分别锚固在搭接连接区段的混凝土中,都将应力传递给混凝土,从而实现了钢筋之间的应力过渡。因此,绑扎搭接传力的基础是锚固。但是搭接钢筋之间的缝间混凝土会因剪切而迅速破碎,握裹力受到削弱。因此,搭接钢筋的锚固强度减小,与锚固长度相比,搭接长度应予加长。此外,由于锥楔作用造成的径向力引起了两根钢筋之间的分离趋势。因此,搭接钢筋之间容易发生纵向劈裂裂缝,必须有较强的围箍约束以维持锚固。
【拓展训练】试用所学的粘结与锚固知识解释钢筋的绑扎连接长度和间距等有关规定。
