3.4 单筋矩形截面受弯构件的正截面承载力计算
这一讲我们学习单筋矩形截面受弯构件的正截面承载力计算。包括2个知识点:一个是基本计算公式及适用条件;另一个是工程应用——截面设计和截面复核。
学习要求是:掌握正截面承载力计算的基本公式及适用条件;掌握基本方程的工程应用。
只在截面的受拉区配置纵向受拉钢筋的矩形截面,称为单筋矩形截面。
3.4.1基本原理
知识点3.4.1.基本公式及适用条件
(1)基本公式
单筋矩形截面受弯构件正截面承载力计算简图如图3-15所示,省略了架立筋和箍筋。

图3-15 单筋矩形截面受弯构件正截面承载力计算简图
由力的平衡条件,得:
(3-23)
由力矩的平衡条件,得:
以受拉钢筋合力点为矩心取矩
(3-24a)
以受压混凝土合力点为矩心取矩
(3-24b)
式中:h0——截面的有效高度,h0= h-as;
as——受拉区边缘到受拉钢筋合力作用点的距离。
(2)适用条件
式(3-23)和式(3-24)是根据适筋构件的计算简图导出的,它只适用于适筋构件,不适用于少筋构件和超筋构件。设计时为避免少筋破坏和超筋破坏,必须使设计满足以下两个条件:
1)为了防止少筋破坏,应满足
或As≥rminbh。
2)为了防止超筋破坏,保证构件破坏时纵向受拉钢筋首先屈服,应满足
ξ≤ξb,或x≤ξbh0,或r≤rmax
由此,单筋矩形截面梁的最大受弯承载力为式(3-25),只取决于截面尺寸、材料种类,与钢筋的数量无关。
(3-25)
3.4.2工程应用案例
知识点3.4.2.基本公式的工程应用
受弯构件正截面承载力计算包括截面设计和截面复核两类问题,计算方法有所不同。
(1)截面设计
截面设计时,先用结构力学的方法算出弯矩设计值M,再选择材料种类和强度等级、截面尺寸等,最后进行计算确定配筋。选择材料种类和强度等级的原则是:梁中纵向受拉钢筋宜采用HRB400、HRB500、HRBF400、HRBF500钢筋,也可采用HRB335、HRBF335、HPB300和RRB400钢筋,板常采用HPB300级和HRB335级钢筋。混凝土强度等级不应低于C20;当钢筋采用HRB335级时,混凝土强度等级不宜低于C20;当钢筋采用HRB400级和RRB400级以及承受重复荷载的构件时,混凝土强度等级不宜低于C25。确定截面尺寸的原则是:从刚度要求出发,根据设计经验,一般按高跨比h/l来估计截面高度h,再根据高度h和高宽比确定截面宽度b。
截面设计时,通常已知截面设计弯矩M、截面尺寸b´h、混凝土强度等级及钢筋级别,求所需受拉钢筋截面面积As。
设计步骤:
1)根据环境类别和混凝土强度等级,由附表3-2查得混凝土保护层最小厚度c,再预先估计as,得截面有效高度h0;
2)由式(3-24a)解二次方程式,确定x;
3)验算是否满足x≤ξbh0。若x>ξb h0,则有三种处理方案:①加大截面尺寸,其中提高截面高度是最有效的方法,因为抗弯承载力与截面有效高度的二次方成正比;②提高混凝土强度等级。不过,混凝土强度对截面抗弯承载力的影响很小;③改用双筋矩形截面。
4)由(3-23)求得As并选择钢筋;所选用钢筋截面面积与计算值可相差±5%,当最终配筋直径与假定直径相差特别大时,需要修正as重新计算。
(3-26)
5)验算适用条件2),要求满足As≥rminbh。若不满足,按As=rminbh配置。
[例3-1]截面设计类
(2)截面复核
已知截面设计弯矩M、截面尺寸b´h、受拉钢筋截面面积As、混凝土强度等级及钢筋级别,验算正截面承载力Mu是否足够。
复核步骤:
1)
2)检验是否满足适用条件ξ≤ξb。若ξ>ξb,按x=xb计算;
3)检验是否满足适用条件As≥rminbh。若不满足,则按As=rminbh配筋或修改截面重新设计;
4)求Mu,由式(3-23)或(3-24)求得:
(3-28a)
(3-28b)
当Mu≥M 时,认为截面受弯承载力满足要求,否则认为不安全。但若Mu大于M过多,则认为该截面设计不经济。
[例3-2]截面复核类
3.4.3正截面承载力计算的表格法
大家好!这一讲我们学习单筋矩形截面受弯构件的正截面承载力计算的表格法。包括2个知识点:一个是表格法的基本原理;另一个是工程应用——截面设计和截面复核。
学习要求是:熟悉正截面承载力计算的表格法;熟悉表格法的工程应用。
1.表格法的提出
按基本公式(3-23)和(3-24)计算时,一般需联立解二次方程组,为了实际应用方便,可将计算公式制成表格,以简化计算。
2.计算系数
式(3-28a)和(3-28b)中,取
,则有
(3-29a)
(3-29b)
αs称为截面抵抗矩系数,γs称为内力臂系数,代表力臂Z与h0的比值(Z/h0)。配筋率ρ越大,γs越小,而αs越大。
由xb可计算出相应的单筋矩形截面受弯构件的截面抵抗矩系数最大值αsb,见表3-7。验算适用条件时可选择使用αs≤αsb。
表3-7 钢筋混凝土受弯构件的截面抵抗矩系数最大值αsb
3.计算表格
ξ与αs、γs之间存在一一对应的关系,因此可以将不同的αs所对应的ξ和γs计算出来,如表3-6所示。设计时查用此表,可避免解二次联立方程组,从而使计算简化。
当查表不方便或需要插值计算时,可直接按下式计算:
(3-30)
(3-31)
4.利用表格法进行截面配筋计算的步骤:
[例3-1]截面设计类 [例3-2]板的截面设计
1.在实际结构设计中,怎样进行梁的正截面承载力计算的?
答:截面设计时,先根据结构布置确定梁的截面尺寸,原则是:从刚度要求出发,根据设计经验,一般按高跨比h/l来估计截面高度h,再根据高度h和高宽比确定截面宽度b。然后根据确定的结构计算简图用结构力学的方法算出弯矩设计值M;再选择材料种类和强度等级等,计算配筋面积,结合构造要求选配钢筋。
2.梁的设计中如何确定材料种类和强度等级?
答:原则是:梁中纵向受拉钢筋宜采用HRB400、HRB500、HRBF400、HRBF500钢筋,也可采用HRB335、HRBF335、HPB300和RRB400钢筋,板常采用HPB300级和HRB335级钢筋。混凝土强度等级不应低于C20;当钢筋采用HRB335级时,混凝土强度等级不宜低于C20;当钢筋采用HRB400级和RRB400级以及承受重复荷载的构件时,混凝土强度等级不宜低于C25。
拓展阅读—钢筋的代换与并筋
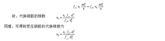
工程中常需要进行钢筋代换。受力钢筋代换的基本原则是等强度代换,即代换前后钢筋承担的极限拉力或极限压力相等。构造钢筋代换的基本原则是等面积代换,即代换前后钢筋的截面积相等。
1. 受力钢筋代换
假设原设计钢筋的抗拉强度设计值为
,公称直径为
,根数为
;代换钢筋的抗拉强度设计值为
,公称直径为
,根数为
;按等强代换原则,有

钢筋代换后,除满足承载力要求以外,还应满足最大荷载作用下的总伸长率、裂缝宽度与挠度验算,以及抗震规定,同时还需要满足最小配筋率、钢筋间距、保护层厚度、钢筋锚固长度、接头面积百分率及搭接长度等构造要求。
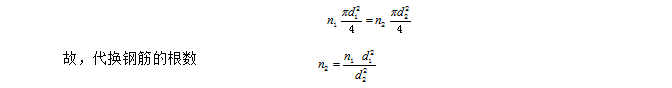
2. 构造钢筋代换
设计图纸上的各种构造钢筋,需要代换时按等面积代换原则,有

3. 钢筋的并筋
当构件设计的配筋过于密集或钢筋过粗引起施工困难时,可以采用并筋(钢筋束)的配置形式。直径28mm及以下的钢筋并筋数量不应超过3根,直径32mm的钢筋并筋数量宜为2根;直径36mm以上的钢筋不应采用并筋。并筋应按单根等效钢筋进行计算,等效钢筋的直径应按截面面积相等的原则换算确定。相同直径的二并筋等效直径可取为1.41倍单根钢筋直径;三并筋等效直径可取为1.72倍单根钢筋直径。二并筋可按纵向或横向的方式布置;三并筋宜按品字形布置,并均按并筋的截面形心作为等效钢筋的形心。