8.2 钢筋混凝土构件的裂缝宽度验算
8.2.1受弯构件的裂缝限值
荷载裂缝宽度验算主要是针对由弯矩、轴向拉力、偏心拉(压)力等荷载效应引起的垂直裂缝,或称正截面裂缝。非荷载裂缝是指处于超静定状态的结构受非荷载因素〔比如温度、混凝土收缩、混凝土碳化、基础沉降等)的影响在结构内部产生内应力而形成的裂缝。调查表明,结构物的裂缝属于变形因素为主引起的约占80%,属于荷载为主引起的约占20%。
实际工程中非荷载裂缝的成因和分布情况十分复杂,目前要精确计算还很困难,故非荷载裂缝的控制通常采用设计、施工、选材、构造措施等手段实现。荷载裂缝可通过计算裂缝宽度来控制,使其满足正常使用的要求。
根据正常使用阶段对结构构件裂缝的不同要求,将裂缝的控制等级分为三级:一级是严格要求不出现裂缝的构件;二级是一般要求不出现裂缝的构件;三级是允许小现裂缝的构件。一级、二级裂缝控制等级,要求验算受拉边缘的应力;三级裂缝控制等级,要求验算正截面的裂缝宽度。
《规范》规定,对于使用上要求限制裂缝宽度的钢筋混凝土构件,按荷载效应的准永久组合并考虑长期作用影响计算的最大裂缝宽度wmax应满足规定的限值。
8.2.2裂缝出现前后的应力状态
以一根三分点受力的简支粱纯弯段受拉区为例,说明裂缝的形成过程。
在裂缝未出现前,受拉区钢筋与混凝土共同受力;各截面的受拉钢筋应力及受拉区混凝土拉应力大体上保持均等。
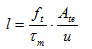
当混凝土拉应力增加达到混凝土的抗拉强度时,在某一最薄弱的截面上将出现第一条裂缝。有时也可能在几个截面上同时出现一批裂缝。裂缝出现后,该截面上混凝土退出工作,原来承受的拉力转由钢筋来承担,钢筋应力将突然增大、应变也突增。同时混凝土向两侧回缩,但受到钢筋的约束,两者之间的相对滑移会产生粘结应力。通过粘结应力的作用,相对滑移逐渐变小直至l处为零,这时,钢筋和混凝土又具有相同的拉应变,粘结应力为零。这个l 即为传递长度。
两条裂缝的间距稳定在(l~2l)之间,裂缝的平均间距lm应为1.5l。当截面弯矩达到0.5Mu0~ 0.7Mu0时,裂缝“出齐”(图8-6),构件不再产生新的裂缝,而只是使原来的裂缝继续扩展与延伸,荷载越大,裂缝越宽。随着荷载的逐步增加,裂缝间的混凝土逐渐脱离受拉工作,钢筋应力逐渐趋于均匀。


8.2.3平均裂缝间距
取图8-7平均裂缝间距lm的钢筋及其有效约束范围内的受拉混凝土为脱离体。脱离体两端的拉力之差将由钢筋与混凝土之间的粘结力来平衡,即
故, 
(8-17)
式中:τm——lm范围内纵向受拉钢筋与混凝土的平均粘结应力;
u——纵向受拉钢筋截面总周长,u=nπd,n和d分别为钢筋的根数和直径。
Ate——有效受拉混凝土截面面积。
令ρte=As/Ate,取lm=1.5l,代入式(8-17)得
(8-18)
当配筋率ρ 相同时,钢筋直径越细,裂缝间距越小,裂缝宽度也越小,也即裂缝的分布和开展会密而细,这是控制裂缝宽度的一个重要原则。
考虑到纵向受拉钢筋表面状况、保护层Cs 和钢筋净间距的影响,《规范》推荐对受弯构件、偏心受拉和偏心受压构件按下式计算:
,
(8-21) 8.2.4平均裂缝宽度
《规范》定义的裂缝宽度是指受拉钢筋重心水平处构件侧表面的混凝土裂缝宽度。试验表明,沿裂缝深度的裂缝宽度是不相等的,钢筋表面处的裂缝宽度只有构件混凝土表面裂缝宽度的1/5~1/3。同时,裂缝宽度的离散性较大,平均裂缝宽度才具有确定性。
1.平均裂缝宽度表达式
对裂缝宽度的形成有两种理论。一种是滑移理论,认为在裂缝与钢筋相交处,钢筋与混凝土之间发生局部粘结破坏,裂缝的开展是由于钢筋与混凝土之间不再保持变形协调而出现相对滑移而形成的。裂缝开展的宽度为一个裂缝间距内,钢筋伸长与混凝土伸长之差。另一种是无滑移理论,认为裂缝宽度在通常允许的范围时,钢筋表面相对于混凝土不产生滑动,钢筋表面裂缝宽度为0,而随着逐渐接近构件表面,裂缝宽度增大,到表面时最大。裂缝开展的宽度为与钢筋到所计算点的距离成正比。
《规范》将以上两种理论相结合,既考虑保护层厚度的影响,也考虑相对滑移的影响。平均裂缝宽度wm等于平均裂缝间距内钢筋和混凝土的平均受拉伸长之差(如图8-9),即
(8-24)
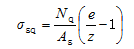
式中:σsq——按荷载准永久组合计算的构件纵向受拉钢筋应力。

裂缝间钢筋应变不均匀系数ψ=εsm /εs,反映了裂缝间受拉混凝土参与受拉工作的程度。其半理论半经验公式为
(8-25)
计算时,当y<0.2时,取y=0.2;当y>1.0时,取y=1.0;对直接承受重复荷载的构件,取y=1.0。
2.裂缝截面处的钢筋应力
在荷载效应的准永久组合作用下,裂缝截面处纵向受拉钢筋的应力σsq可根据截面受力平衡方程计算。
(1)轴心受拉构件
对于轴心受拉构件,裂缝截面的全部拉力均由钢筋承担,故钢筋应力为
(8-26)
式中:Nq——按荷载准永久组合计算的轴向拉力值。
(2)矩形截面偏心受拉构件
对小偏心受拉构件,直接对拉应力较小一侧的钢筋重心取力矩平衡(图8-10a);对大偏心受拉构件,近似取受压区混凝土压应力合力与受压钢筋合力作用点重合并对受压钢筋重心取力矩平衡(图8-10b,取内力臂ηh 0=h 0-as');得
(8-27)
式中: e¢——轴向拉力作用点至纵向受压钢筋(对小偏心受拉构件,为拉应力较小一侧的钢筋)合
力点的距离,e¢=e0+h/2+a¢。

(3)受弯构件
对于受弯构件,在正常使用荷载作用下,可假定裂缝截面的受压区混凝土处于弹性阶段,应力图形为三角形分布,求得应力图形的内力臂z,一般可近似地取z=0.87h0(如图8-11所示),则
(8-28)
式中:Mq——按荷载准永久组合计算的弯矩值。
(4)大偏心受压构件
在正常使用荷载作用下,可假定大偏心受压构件的应力图形同受弯构件,按照受压区三角形应力分布假定和平截面假定求得内力臂。但因需求解三次方程,不便于设计。为此,《规范》给出了考虑截面形状的内力臂近似计算公式:
(8-29)
当偏心受压构件的l0/h>14,还应考虑侧向挠度的影响,即取e=ηse0 + ys。其中,ys为截面中心至纵向受拉钢筋合力点的距离,ηs是指使用阶段的轴向压力偏心距增大系数,可近似地取
(8-30)
当l0/h≤14时,取ηs=1.0。
由图8-12的力矩平衡条件可得
(8-31)
式中:
e——轴向压力作用点至纵向受拉钢筋合力点的距离;
z——纵向受拉钢筋合力点至受压区合力点的距离;
ηs——使用阶段的偏心距增大系数。
ys——截面重心至纵向受拉钢筋合力点的距离;
γf'——受压翼缘面积与腹板有效面积的比值,当hf'>0.2h0时,取hf' =0.2h0。
8.2.5最大裂缝宽度
1.最大裂缝宽度的计算
短期荷载作用下的最大裂缝宽度可以采用平均裂缝宽度wm乘以扩大系数αs得到。该系数可由实测裂缝宽度分布直方图按可靠概率为95%的要求统计分析求得。
在荷载长期作用下,由于钢筋与混凝土的粘结滑移徐变、拉应力松弛和受拉混凝土的收缩影响,导致裂缝宽度随时间推移逐渐增大。此外,荷载的变动、环境温度的变化,都会使裂缝宽度不断增大。因此,短期荷载最大裂缝宽度还需乘以荷载长期效应的裂缝扩大系数αl 。《规范》考虑荷载短期效应与长期效应的组合作用,对各种受力构件,均取αl =1.50。
因此,考虑荷载长期影响在内的最大裂缝宽度公式为
(8-32)
在上述理论分析和试验研究基础上,对于矩形、T形、倒T形及工形截面的钢筋混凝土受拉、受弯和偏心受压构件,按荷载效应的准永久组合并考虑长期作用影响的最大裂缝宽度wmax按下列公式计算:
(8-33)
式中:αcr——构件受力特征系数,对轴心受拉构件取2.7;对偏心受拉构件取2.4;对受弯构件和偏心受压构件取1.9。
2.最大裂缝宽度的影响因素
试验数据分析表明,影响裂缝宽度的主要因素有:
1)受拉钢筋应力σsq:钢筋的应力值大时,裂缝宽度也大;
2)钢筋直径:当其他条件相同时,裂缝宽度随的增大而增大;
3)配筋率值:随值的增大裂缝宽度有所减小;
4)混凝土保护层厚度:当其他条件相同时,保护层厚度值越大,裂缝宽度也越大,因而增大保护层厚度对表面裂缝宽度是不利的。
5)钢筋的表面形状:其他条件相同时,配置带肋钢筋时的裂缝宽度比配置光圆钢筋时的裂缝宽度小;
6)荷载作用性质:荷载长期作用下的裂缝宽度较大;反复荷载作用下裂缝宽度有所增大;
7)构件受力性质(受弯、受拉等)。
研究还表明,混凝土强度等级对裂缝宽度的影响不大。
8.2.6最大裂缝宽度验算
《规范》规定,对于使用上要求限制裂缝宽度的钢筋混凝土构件,按荷载效应的准永久组合并考虑长期作用影响计算的最大裂缝宽度wmax,应满足下列要求
wmax≤wlim (8-34)
式中:wlim——最大裂缝宽度限值,由附表3-5查得。
《规范》还规定:偏心受压构件e0 /h0≤0.55时,正常使用阶段裂缝宽度较小,均能满足要求,故可不进行验算。对于直接承受重复荷载作用的吊车梁,卸载后裂缝可部分闭合,同时由于吊车满载的概率很小,吊车最大荷载作用时间很短暂,可将计算所得的最大裂缝宽度乘以系数0.85。
如果wmax超过允许值,则应采取相应措施,如适当减小钢筋直径,使钢筋在混凝土中均匀分布;采用与混凝土粘结较好的变形钢筋;适当增加配筋量(不够经济合理),以降低使用阶段的钢筋应力。这些方法都能一定程度减小正常使用条件下的裂缝宽度。但对限制裂缝宽度而言,最根本的方法也是采用预应力混凝土结构。