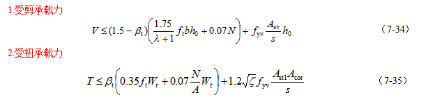
压、弯、剪、扭作用下的承载力计算
-
1 教学视频
-
2 教学ppt
-
3 知识内容
-
4 作业
-
5 测验
上一节
下一节



