3.6 T形截面受弯构件的正截面受弯承载力计算
大家好!这一讲我们学习T形截面受弯构件的正截面承载力计算。包括2个知识点:一个是T形截面承载力计算的基本原理;另一个是工程应用——截面设计和截面复核。
学习要求是:掌握T形截面正截面承载力计算的基本原理;掌握其工程应用。
3.6.1正截面承载力计算原理
1. T形截面的由来
矩形截面受弯构件进入破坏阶段以后,大部分受拉区混凝土已退出工作,对极限承载力的贡献很小。所以,正截面承载力计算时,不考虑混凝土的抗拉强度。既然如此,将矩形截面构件受拉区两侧的部分混凝土去掉,将原有纵向受拉钢筋集中布置在梁肋中,形成T形截面,其极限承载能力不受影响,同时还能节省混凝土,减轻构件自重,产生一定的经济效益。如图3-25所示的T形截面中,伸出部分称为翼缘(b¢f -b)×h¢f ,中间部分称为梁肋(b×h)。
T形截面受弯构件广泛应用于工程实际中。例如:①独立T形梁、工字形截面梁,如屋面梁、吊车梁;②现浇肋梁楼盖的梁与楼板浇筑在一起形成T形梁;③槽形板、双T屋面板、薄腹屋面梁以及预制空心板等(图3-26)。如果翼缘在梁的受拉区,则为倒T形截面梁(图3-26b),计算受弯承载力时应按宽度为b的矩形截面计算。现浇肋梁楼盖连续梁的支座附近截面就是倒T形截面(图3-26d),该处承受负弯矩,使截面下部受压(II-II剖面),翼缘(上部)受拉,而跨中(I-I剖面)则按T形截面计算。

2.T形截面的翼缘计算宽度
T形截面翼缘参与受压。试验研究与理论分析证明,翼缘的压应力分布不均匀,离梁肋越远应力越小(图3-27a、c),可见翼缘参与受压的有效宽度是有限的。为简化计算,在设计T形截面梁时应将翼缘限制在一定范围内,并假定混凝土的压应力在b¢f范围内均匀分布,这个宽度称为翼缘的计算宽度b¢f。

图3-27 T形截面应力分布图
《规范》规定了T形及倒L形截面受弯构件翼缘计算宽度b¢f的取值,考虑到b¢f与翼缘厚度、梁跨度和受力状况等因素有关,应按表3-8中规定各项的最小值采用。
表3-8 T形和倒L形截面受弯构件翼缘计算宽度b¢f
3.基本公式及适用条件
1)T形截面的两种类型及判别条件
T形截面受弯构件正截面受力的分析方法与矩形截面的基本相同,不同之处在于需要考虑受压翼缘的作用。根据中和轴是否在翼缘内,将T形截面分为以下两种类型:
①第一类T形截面:中和轴在翼缘内,即x≤hf';
②第二类T形截面:中和轴在梁肋内,即x>hf'。
要判断中和轴是否在翼缘中,首先应对中和轴在翼缘与梁肋交界处,即x=hf' 处的界限情况进行分析(图3-29)。

图3-29 x=hf'时的T形截面
根据力的平衡条件

对于第一类T形截面,有x≤hf',则

对于第二类T形截面,有x>hf',则

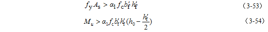
以上即为T形截面受弯构件类型判别条件。但应注意不同设计阶段采用不同的判别条件:
1)在截面设计时,由于As未知,采用式(3-52)和式(3-54)进行判别;
2)在截面复核时,As已知,采用式(3-51)和式(3-53)进行判别。
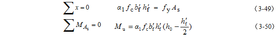
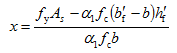
2、第一类T形截面承载力的计算公式
由于不考虑受拉区混凝土的作用,其承载力主要取决于受压区的混凝土,故第一类T形截面的承载力与梁宽为bf' 矩形截面完全相同,计算公式为

图3-30 第一类T形截面
适用条件:
1)x≤ξbh0。由于T形截面的hf' 较小,而第一类T形截面中和轴在翼缘中,故x值较小,该条件一般都可满足,不必验算。
2)As≥ρminbh。应该注意的是,最小配筋面积按ρminbh而不是ρminbf'h。
对于工字形截面和倒T形截面,应满足As≥ρmin[bh+(bf -b)hf]
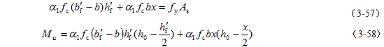
3、第二类T形截面承载力的计算公式
第二类T形截面的中和轴在梁肋中,可将该截面分为伸出翼缘和矩形梁肋两部分,如图3-31所示,则计算公式根据平衡条件得


图3-31 第二类T形截面
适用条件:
1)x≤ξbh0;
2)As≥ρmin[bh+(bf -b)hf]。该条件一般都可满足,不必验算。
3.6.3.计算公式的工程应用
(1)截面设计
已知:截面弯矩设计值M、截面尺寸、混凝土强度等级和钢筋级别,求受拉钢筋截面面积As。
设计步骤:
首先判别截面类型,按相应的公式计算,最后验算适用条件。
当满足
时,为第一类T形截面,按梁宽为bf'的单筋矩形截面计算。
当满足
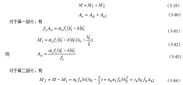
时,为第二类T形截面,根据式(3-57)和式(3-58)计算。若将翼缘伸出部分视作双筋矩形截面中的受压钢筋,可以看出第二类T形截面与双筋矩形截面相似(图3-31),因此也可按双筋矩形截面计算方法分析,有

与梁宽为b的单筋矩形截面一样,根据式(3-64)确定αs,查表3-8得相应的γs,则
(3-65)
验算x≤ξbh0。
(2)截面复核
已知:截面弯矩设计值M,截面尺寸、受拉钢筋截面面积As、混凝土强度等级及钢筋级别,求
正截面受弯承载力Mu是否足够。
复核步骤:
首先判别截面类型,根据类型的不同,选择相应的公式计算,最后验算适用条件。
当满足式(3-51)时,为第一类T形截面,按bf'×h的单筋矩形截面受弯构件复核方法进行;当
满足式(3-53)时,为第二类T形截面,有
(3-66)
验算适用条件:若x≤ξbh0,则将x代入式(3-56)得Mu;若x>ξbh0,则令x=ξbh0计算。若Mu≥M,则承载力足够,截面安全。
3.6.2工程应用案例
【实例3-7】已知预制空心楼板如图3-32a所示。选用C30混凝土和HRB335级钢筋,承受弯矩设计值M=13.2kN·m。试计算所需配置的纵向受力钢筋。

图3-32 【例3-7】图
【解】本例题属于截面设计类。
(1)设计参数
查附表1-2和1-6及表3-2~3-7可知,C30混凝土fc=14.3N/mm2,ft=1.43N/mm2;HRB335级钢筋fy=300N/mm2;α1=1.0,αsb=0.399,ξb=0.55;
查附表3-2,一类环境,c=15mm,则as=c+d/2=20mm,h0=h–20=105mm;

(2)将圆孔空心板换算为工字形截面
根据截面面积不变、截面惯性矩不变的原则,先将圆形孔转换为矩形孔。取圆孔直径为d,换算后矩形孔宽为bR、高为hR,则


换算后工字形截面尺寸如图3-32b所示。
(3)计算钢筋截面面积
1)截面类型判别
当x=h'f时

因此,属于第一类截面类型,可以按矩形截面b'f×h=850mm×125mm计算。
2)求受拉钢筋的面积As

查表3-8,γs=0.948,则

符合适用条件。
(4)选配钢筋及绘配筋图
受拉钢筋选用9B8(As=453mm2),配筋简图如图3-32a所示。
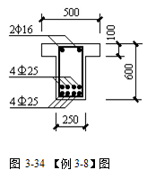
【例3-8】已知T形截面梁,截面尺寸和配筋如图3-34所示。选用C25混凝土,试求该截面所能承受的最大弯矩。

【解】本例题属于截面复核类。
(1)设计参数
查附表1-2和1-6及表3-2~3-7可知,C25混凝土fc=11.9N/mm2;HRB335级钢筋fy=300N/mm2;α1=1.0,αsb=0.399,ξb=0.550;
查附表3-2,一类环境,c=20mm,则as=c+dsv+d+e/2=20+8+25+25/2=65.5mm,取值65mm,h0=h–65=535mm;a′s=c+dsv+d/2=20+8+16/2=36mm,取a′s=35mm。
As=3927mm2,A's=402mm2。
(2)截面类型判别

1.第二类T形截面受弯构件正截面承载力计算的基本公式及适用条件是什么?为什么要规定适用条件?