5.7对称配筋矩形截面偏心受压构件正截面承载力计算
在工程设计中,考虑各种荷载的组合,偏心受压构件常常要承受变号弯矩的作用,或为了构造简单便于施工,避免施工错误,一般采用对称配筋截面,即As=As',fy=fy',且as=as'。
1.截面受压类型的判别
由公式(5-23)可知,当As=As',fy=fy' 时,Nb=α1 fcbξbh0。因此,当N>Nb时,为小偏心受压;当N≤Nb时,为大偏心受压。
2.大偏心受压构件截面设计
由公式(5-19)可求出受压区高度
(5-38)
将上式求出的x代入(5-20)可得
(5-39)
若x<2as',近似取x=2as',对受压钢筋合力点取矩,按下式求As和As':
(5-40)
3.小偏心受压构件截面设计
在小偏心的情况下,远离纵向力一侧的钢筋不屈服,且As=As',fy=fy',由式(5-24)和式(5-28)可得
(5-41)
即
(5-42)
将上式代入式(5-25)可得
(5-43)
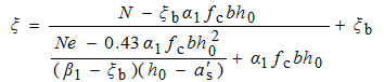
经整理后可得ξ的计算公式为
(5-46)
将算得的ξ代入式(5-25),则计算矩形截面对称配筋小偏心受压构件钢筋截面积的公式为
(5-47)
4.截面承载能力复核
对称配筋矩形截面承载力的复核与非对称矩形截面相同,只是引入对称配筋条件As=As',fy=fy'。与非对称配筋一样,也应同时考虑弯矩作用平面的承载力及垂直于弯矩作用的承载力。
1. 写出偏心受压构件矩形截面对称配筋界限破坏时的轴向压力设计值Nu的计算公式。
【案例】
【5-4】已知一偏心受压构件,处于一类环境,截面尺寸为300×500mm,其计算长度为4m。选用C35混凝土和HRB400级钢筋,轴力设计值为N=500kN,梁端弯矩为M1=M2=200kN·m,求对称配筋面积。

1.对称配筋时,如何判断偏心受压的类型?如何进行矩形截面柱的配筋计算?
2. 怎样进行对称配筋矩形截面偏心受压构件正截面的承载力的设计与复核?
3. 已知一偏心受压构件,处于一类环境,截面尺寸为400×600mm,计算长度为2.7m,选用C35混凝土和HRB400级钢筋,轴力设计值为N=396kN,梁端弯矩设计值为M1=0.92 M2,M2=236kN·m,试按对称配筋进行截面设计。
4. 已知偏心受压构件,处于一类环境,截面尺寸为400×600mm,计算长度为2.7m,选用C30混凝土,对称配筋,每侧实配钢筋4根直径为25mm的HRB335级纵筋,箍筋为直径8mm的HPB300级钢筋,轴力设计值为N=800kN,梁端弯矩设计值为M1=M2=320kN·m,试验算受压承载力。
智能混凝土——混凝土中的爱因斯坦
智能机器人大家都知道,智能混凝土几人了解就不得而知了,作为世界上最强的混凝土,智能混凝土一出现就傲视群雄,居高临下。那么这种新型混凝土究竟有什么厉害之处和资本呢?
智能混凝土的主要特点之一就是可抵御地震,也可抵钻地炸弹。它不仅比其他形式的混凝土能够抵抗住更大的压迫,也比传统混凝土更加柔韧和耐用。这么一来,大家也应该知道智能混凝土的独到之处了吧,智能混凝土作为世界上最强混凝土的称号也算实至名归了。
智能混凝土的优势:
智能混凝土能够在混凝土原有的组分基础上复合智能型组分,这样做的目的就是能够让这种混凝土有着普通混凝土不具备的自感知、自适应、自修复和记忆等多功能。而此种特性不仅能够对混凝土材料内部损伤进行有效预报,更能根据检测结果自动的进行修复,大大提高了混凝土结构的安全性和耐久性。

智能混凝土
新型混凝土品种在不断更新,混凝土添加剂方面也不甘落后,作为混凝土施工过程中不可或缺的一部分,新型混凝土添加剂种类的出现,必然会引起行业内的广泛关注。接下来就由小编为你简单介绍一些大家不为熟知的添加剂吧!