5.10 偏心受压构件斜截面受剪承载力计算
实际结构中的偏心受力构件,在承受轴力与弯矩共同作用的同时,往往还会受到较大的剪力作用(特别是在地震作用下)。为了防止构件发生斜截面受剪破坏,对于钢筋混凝土偏心受力构件,既要进行正截面的受压承载力计算,又要进行斜截面的受剪承载力计算。
1.轴向压力的作用
轴向力对偏心受力构件的斜截面承载力会产生一定的影响。轴向压力能够阻滞构件斜裂缝的出现和发展,使混凝土的剪压区高度增大,提高了混凝土承担剪力的能力,从而构件的受剪承载力会有所提高。试验研究表明,当N<0.3fcbh时,轴向压力N所引起的构件受剪承载力的增量ΔVN会随N的增大而几乎成比例地增大;当N>0.3fcbh时,ΔVN将不再随N的增大而增大。因此,轴向压力对偏心受力构件的受剪承载力具有有利的作用,但其作用效果是有限的。
2.计算公式
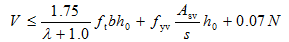
基于上述考虑,通过大量试验资料的分析,对于钢筋混凝土偏心受力构件斜截面受剪承载力的计算问题,规范在集中荷载作用下矩形截面独立梁斜截面承载力的计算方法基础上,给出矩形、T形和I形截面斜截面承载力的计算公式:
(5-78)
式中:V——构件控制截面的剪力设计值;
N——与V相应的轴向压力设计值,当N>0.3fc A时,取N=0.3fc A;
A——构件横截面面积;
λ——构件的计算剪跨比(对各类结构中的框架柱:λ=M/Vh0,其中框架结构中的框
架柱可按λ= Hn / 2h0计算,且需满足1≤λ≤3;对其它的偏心受压构件:当承
受均布荷载时λ=1.5,当承受集中荷载时λ=a/h0,且需满足1.5≤λ≤3);
M——与V相对应的弯矩设计值;
Hn——柱净高;
a ——集中荷载至支座或节点边缘的距离。
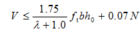
当符合以下条件时,可不进行斜截面受剪承载力计算,而仅按构造要求配置必要的箍筋。
(5-79)
1. 钢筋混凝土偏心受力构件的受剪承载力( B )。
A.随着N的增大而增大;B. 随着M的增大而增大;
C. 随着N的增大而减小;D. 随着M的增大而减小
2. 当柱的剪力设计值V>0.25βcfcbh0 时,应采取措施( D )使V≦0.25βcfcbh0。
A.增大箍筋直径;B. 减小箍筋间距;C. 提高箍筋的抗拉强度值;D. 加大截面尺寸
【案例】
【5-5】某钢筋混凝土框架结构中的矩形截面偏心受压柱,处于一类环境,Hn=3.0m,b´h =400mm´600mm,承受轴向压力设计值N=1500kN,剪力设计值V=282kN, 采用C30混凝土和HPB335级箍筋。试求箍筋用量。
【解】本例题属于截面设计类
(1)基本参数
查附表1-2和附表1-6可知,C30混凝土fc=14.3N/mm2,βc=1.0;HPB235级钢筋fy =300N/mm2;
查附表3-2,一类环境,c=20mm,as =c+ dsv +d/2=40mm,h0= h -as =600-40=560mm。
(2)验算截面尺寸
hw=h0=560mm,hw/b=560/400=1.4<4
则 V=282kN<0.25βcfcbh0=0.25×1.0×14.3×400×560=800800 N=800.8kN
截面尺寸符合要求。
(3)考察是否需按计算配箍

【作业】
1. 怎样计算偏心受压构件的斜截面受剪承载力?
2. 轴向压力对钢筋混凝土偏心受力构件的受剪承载力有何影响?它在计算公式中是如何反映的?
受压构件的受剪承载力计算公式的适用条件是什么?如何防止发生其它形式的破坏?
柱平法施工图
柱平法施工图在是柱平面布置图上采用列表注写方式或截面注写方式表达。
1.列表注写方式
列表注写方式是在柱平面布置图上,分别在同一编号的柱中一个截面标注几何参数代号,然后在柱表中注写柱号、柱段起止标高、几何尺寸与配筋的具体数值,并配以各种柱截面形状及箍筋类型图的方式,来表达柱平法施工图,如图5-6所示。 
图5-6 柱平法施工图的列表注写方式(*放大到1页大小)
(1)柱表中注写内容及相应的规定如下:
①柱编号。由类型代号和序号组成,应符合表5-1的规定。
②各段柱的起止标高。自柱根部往上以变截面位置或截面未变但配筋改变处为界分段注写。框架柱和框支柱的根部标高是指基础顶面标高;芯柱的根部标高是指根据结构实际需要而定的起始位置标高;梁上柱的根部标高是指梁顶面标高;剪力墙上柱的根部标高分两种:当柱纵筋锚固在墙顶部时,其根部标高为墙顶面标高;当柱与剪力墙重叠一层时,其根部标高为墙顶面往下一层的结构层楼面标高。
③几何尺寸。不仅要标明柱截面尺寸,而且还要说明柱截面对轴线的偏心情况。
④柱纵筋。当柱纵筋直径相同,各边根数也相同时,将柱纵筋注写在“全部纵筋”一栏中;除此之外,柱纵筋分角筋、截面b边中部筋和h边中部筋三项分别注写(对称配筋的矩形截面柱,可仅注写一侧中部筋,对称边省略不注)。
⑤箍筋类型号和箍筋肢数。选择对应的箍筋类型号(在此之前要对绘制的箍筋分类图编号),在类型号后续注写箍筋肢数在括号内。
⑧柱箍筋。包括钢筋级别、直径与间距,其表达方式与梁箍筋注写方式相同。
当为抗震设计时,用斜线“/”区分柱端箍筋加密区与柱身非加密区长度范围内箍筋的不同间距。当箍筋沿柱全高为一种时,则不使用“/”线。加密区长度要根据标准构造详图的规定在规定的几种长度值中取最大值。当框架节点核芯区内箍筋与柱端箍筋设置不同时,应在括号内标注核芯区箍筋直径及间距。
例:A10@100/250,表示箍筋为Ⅰ级钢筋,直径10mm,加密区间距为100mm,非加密区间距为250mm。
A10@100/250 A12@100,表示柱中箍筋为Ⅰ级钢筋,直径10mm,加密区间距为100mm,非加密区间距为250mm。框架节点核芯区内箍筋为Ⅰ级钢筋,直径12mm,间距为100mm。
当圆柱采用螺旋箍筋时,需在箍筋前加“L”。
例: LA10@100/200,表示采用螺旋箍筋,Ⅰ级钢筋,直径10 mm,加密区间距为100 mm,非加密区间距为200 mm。
(2)箍筋类型图以及箍筋复合的具体方式,需要画在柱表的上部或图中的适当位置,并在其上标注与柱表中相对应的截面尺寸b、h并编上类型号。
当为抗震设计时,确定箍筋肢数时要满足对柱纵筋“隔一拉一”以及箍筋肢距的要求。
(3)柱平法施工图列表注写方式的阅读
柱平法施工图列表注写方式的阅读要结合图、表进行。下面以图5-6中KZl为例,介绍柱平法施工图列表注写方式的阅读方法。
首先从图中查明柱KZl的平面位置及与轴线的关系。
其次结合图、表阅读,可以看出该柱分3个标高段,①从-0.030~19.470 m为第1个标高段,柱的断面为750mm×700 mm。b方向中心线与轴线重合,左右都为375 mm。h方向有偏心,hl为150 mm , h2为550 mm。全部纵筋为24根C25的钢筋。箍筋选用类型号1(5×4),意思是箍筋类型编号为1,箍筋肢数b方向为5肢,h方向为4肢。加密区的箍筋为A10@ 100,即直径为10 mm的HPB300钢筋,间隔100 mm。非加密区为Al0@ 200,即直径为10 mm的HPB300钢筋,间隔200mm。②从19.470~37. 470 m为第2个标高段,柱的截面为650 mm ×600 mm。b方向中心线与轴线重合,左右都为325 mm。h方向有偏心, h1为150 mm,h2为450 mm。四个大角钢筋为4C22的钢筋。b边一侧中部钢筋为5C22,即b边两侧中部钢筋共配10根直径为22mm的HRB400钢筋。h边一侧中部钢筋为4C20的钢筋,即h边两侧中部钢筋共配8根直径为20mm的HRB400钢筋。故在19.470~37.470 m范围内一共配有C22的HRB400钢筋14根和C20的HRB400钢筋8根。箍筋选用类型号1(5×4),意思是箍筋类型编号为1,b方向为5肢,h方向为4肢。箍筋的配置同第一个标高段。
2.截面注写方式
(1)柱截面注写方式,是在分标准层绘制的柱平面布置图的柱截面上,分别在同一编号的柱中选择一个截面,直接该截面上注写截面尺寸和配筋具体数值,如图5-7所示。做法如下:
对所有柱编号,从相同编号的柱中选择一个截面,按另一种比例原位放大绘制柱截面配筋图,并在配筋图上依次注明编号、截面尺寸、角筋或全部纵筋(当纵筋采用一种直径且能够图示清楚时)及箍筋的具体数值(与梁箍筋注写方式相同)。同时,还要注明柱截面对轴线的偏心情况。当纵筋采用两种直径时,需再注写截面各边中部筋的具体数值(对称配筋的矩形截面柱,可仅注写一侧中部筋)。
对芯柱,首先编号后依次注写芯柱的起止标高、全部纵筋及箍筋的数量,芯柱截面尺寸不注明,按构造确定并按标准构造详图施工。当设计者采用与标准图集构造详图不同的做法时,应另行注明。芯柱定位岁框架柱走,不需要注写其与轴线的几何关系。
在截面注写中,如柱的分段截面尺寸和配筋均相同,仅分段截面与轴线的关系不同的时候,仍可将其编为统一柱号,但此时应在未画配筋的柱截面上注写该柱截面与轴线关系的具体尺寸。
(2)柱平法施工图截面注写方式的阅读
以图5-7中的KZl为例,介绍柱平法施工图截面注写方式的阅读方法。
从图中可以看出,在同一编号的框架柱KZl中选择1个截面放大,直接注写截面尺寸和配筋数值。该图表示的是从-0.030~37.470 m的标高段,柱的断面尺寸及配筋情况。其他均与列表注写方式和常规的表示方法相同,不再赘述。

图5-7 柱平法施工图的截面注写方式