9.3 预应力混凝土轴心受拉构件计算
对于预应力混凝土轴心受拉构件的设计计算,主要包括有荷载作用下的正截面承载力计算、使用阶段的裂缝控制验算和施工阶段的局部承压验算等内容,其中使用阶段的裂缝控制验算包括有抗裂验算和裂缝宽度验算。以后张法为例予以说明.
9.3.1预应力张拉施工阶段应力分析
后张法预应力混凝土轴心受拉构件施工阶段的主要工序有浇筑混凝土并预留孔道、穿设并张拉预应力钢筋、锚固预应力钢筋和孔道灌浆。
(1)张拉预应力钢筋之前,即从浇筑混凝土开始至穿预应力钢筋后,构件不受任何外力作用,所以构件截面不存在任何应力,如图9-17(a)所示。


(2)张拉预应力钢筋,与此同时混凝土受到与张拉力反向的压力作用,并发生了弹性压缩变形,如图9-17(b)所示。同时,在张拉过程中预应力钢筋与孔壁之间的摩擦引起预应力损失sl2;锚固预应力钢筋后,锚具的变形和预应力钢筋的回缩引起预应力损失sl1,从而完成了第一批损失slI。此时,混凝土受到的压应力为spcI,非预应力钢筋所受到的压应力为aEsspcI。预应力钢筋的有效拉应力speI为
(9-22)
由构件截面的内力平衡条件speIAp=spcIAc+aEsspcIAs,可得到
(9-23)
式中:NpI——完成第一批预应力损失后,预应力钢筋的合力;
An——构件的净截面面积,即扣除孔道后混凝土的截面面积与非预应力钢筋换算成混凝土的截面面积之和,An= Ac+ aEsAs。
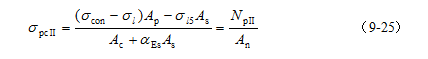
(3)在预应力张拉全部完成之后,构件中混凝土受到预压应力的作用而发生了收缩和徐变、预应力钢筋松驰以及预应力钢筋对孔壁混凝土的挤压,从而完成了第二批预应力损失slII,此时混凝土的应力由spcI减少为spcII,非预应力钢筋的预压应力由aEsspcI减少为aEsspcII+sl5,如图9-17(c)所示,预应力钢筋的有效应力speII为
(9-24)
由构件截面的内力平衡条件speIIAp=spcIIAc+ (aEsspcII+sl5) As,可得

式中,NpII——预应力钢筋完成全部预应力损失后预应力钢筋和非预应力钢筋的合力,NpII=(scon-sl)Ap-sl5As。
式(9-25)说明预应力钢筋,按张拉控制应力scon进行张拉,在放张后并完成全部预应力损失sl时,后张法预应力混凝土轴心受拉构件在构件净截面An上建立了预压应力spcII。
9.3.2使用阶段应力分析
预应力混凝土轴心受拉构件在使用荷载作用下,其整个受力都经历消压、开裂和达到承载能力极限状态等过程。
1.消压轴力
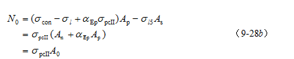
对构件施加的轴心拉力N0在该构件截面上产生的拉应力sc0=N0/A0刚好与混凝土的预压应力spcII相等,即∣sc0∣=∣spcII∣,称N0为消压轴力。此时,非预应力钢筋的应力由原来的aEsspcII+sl5减小了aEsspcII,即非预应力钢筋的应力ss0=sl5;预应力钢筋的应力则由原来的speII增加了aEpspcII。
对于后张法预应力混凝土轴心受拉构件,结合式(9-30),得到预应力钢筋的应力sp0为

预应力混凝土轴心受拉构件的消压状态,相当于普通混凝土轴心受拉构件承受荷载的初始状态,混凝土不参与受拉,轴心拉力N0由预应力钢筋和非预应力钢筋承受,则
将式(9-26b)分别代入式(9-27),结合式(9-25),得到后张法预应力混凝土轴心受拉构件的消压轴力N0为
式(9-28)表明,消压轴力都等于混凝土有效预压应力乘以换算截面面积,全部由预应力钢筋和非预应力钢筋承受。
2.开裂轴力
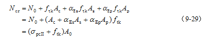
在消压轴力N0基础上,继续施加足够的轴心拉力使得构件中混凝土的拉应力达到其抗拉强度ftk,混凝土处于受拉即将开裂但尚未开裂的极限状态,称该轴力为开裂轴力Ncr。此时混凝土所受到的拉应力为ftk;非预应力钢筋由压应力sl5增加了拉应力aEsftk,预应力钢筋的拉应力由sp0增加了aEpftk,即ss,cr=aEsftk -sl5,sp,cr=sp0+aEpftk。
此时构件所承受的轴心拉力为

3.极限轴力
当构件开裂后,混凝土不再承受荷载的作用,全部荷载完全由钢筋承受,破坏时预应力钢筋和非预应力钢筋都达到各自的屈服强度,其极限轴力为
式中
——预应力钢筋和非预应力钢筋的设计强度;
——预应力钢筋和非预应力钢筋的截面面积。
当构件所承受的轴心拉力N超过开裂轴力Ncr后,构件受拉开裂,并出现多道大致垂直于构件轴线的裂缝,裂缝所在截面处的混凝土退出工作,不参与受拉。轴心拉力全部由预应力钢筋和非预应力钢筋来承担,根据变形协调和力的平衡条件,可得预应力钢筋的拉应力sp和非预应力钢筋的拉应力ss分别为
9.3.3 预应力混凝土轴心受拉构件的设计计算
预应力混凝土轴心受拉构件的设计内容主要包括使用阶段承载力计算和抗裂验算,施工阶段(制作、运输、安装)承载力验算,以及后张法构件锚具垫板下局部受压承载力验算等。
1.使用阶段的承载力计算
为保证构件在使用阶段具有足够的安全性,故承裁能力极限状态计算时,荷载效应及材料强度均采用设计值。计算简图如图9-19所示,公式如下:
(9-32)
式中 N——轴向拉力设计值;
构件截面所能承受的轴向拉力设计值;
——结构重要性系数。
应用式(9-32)计算时,一个方程只能求解一个未知量。一般是先按构件要求或经验定出普通钢筋的数量(即确定了A s),再由公式求解。
2. 使用阶段的抗裂验算
进行正常使用极限状态的验算时,荷载应采用标准组合或准永久组合,材料强度采用标准值。
对预应力轴心受拉构件的抗裂验算,通过对构件受拉边缘应力大小的验算来实现,应按两个控制等级进行验算,计算简图如图9-20所示。

(1)一级裂缝控制等级的构件,严格要求不出现裂缝
在荷载标准组合下轴心受拉构件受拉边缘不允许出现拉应力,即Nk<N0,结合式(9-28a)、(9-28b) 得
(2)二级裂缝控制等级的构件,一般要求不出现裂缝
在荷载效应的标准组合下轴心受拉构件受拉边缘不允许超过混凝土轴心抗拉强度标准值ftk,即Nk<Ncr,结合式(9-29)得 
在荷载效应的准永久组合下轴心受拉构件受拉边缘不允许出现拉应力,即Nq<N0,结合式(9-28a)、(9-28b)得

式中:Nk、Nq——按荷载的标准组合、准永久组合计算的轴心拉力。
(3)三级裂缝控制等级的构件,允许出现裂缝
对在使用阶段允许出现裂缝的预应力混凝土轴心受拉构件,要求按荷载效应的标准组合并考虑荷载长期作用影响的最大裂缝宽度不应超过最大裂缝宽度的允许值。即
wmax≤wlim (9-36)
式中:wmax——按荷载效应的标准组合并考虑长期作用影响的最大裂缝宽度;
wlim——裂缝宽度限值,按结构工作环境的类别,由附表3-5查得。
预应力混凝土轴心受拉构件经荷载作用消压以后,在后续增加的荷载ΔN=Nk-N0作用下,构件截面的应力和应变变化规律与钢筋混凝土轴心受拉构件十分类似,在计算wmax时可沿用其基本分析方法,最大裂缝宽度wmax按下式计算
(9-37)
式中:αcr——构件受力特征系数,对轴心受拉构件,取αcr =2.2;
ψ——两裂缝间纵向受拉钢筋的应变不均匀系数,
;当ψ<0.2时,取ψ=0.2;当ψ>1.0时,取ψ=1.0;对直接承受重复荷载的构件,取ψ=1.0;
ρte——按有效受拉混凝土截面面积计算的纵向受拉钢筋的配筋率,
;
当ρte<0.01时,取ρte=0.01;
Ate——有效受拉混凝土截面面积,取构件截面面积,即Ate=bh;
ssk——按荷载效应标准组合计算的预应力混凝土轴心受拉构件纵向受拉钢筋的等效应力,即从截面混凝土消压算起的预应力钢筋和非预应力钢筋的应力增量,由
式(9-30)和式(9-31)得
;
Nk——按荷载效应标准组合计算的轴心拉力;
N0——预应力混凝土构件消压后,全部纵向预应力和非预应力钢筋拉力的合力;
cs——最外层纵向受拉钢筋外边缘至构件受拉边缘的最短距离(mm),当cs<20时,取c s =20;当c s>65时,取c s=65;
Ap、As——分别为受拉纵向预应力和非预应力钢筋的截面面积;
deq——纵向受拉钢筋的等效直径,按下式计算
(9-38)
di——构件横截面中第i种纵向受拉钢筋的公称直径;
ni——构件横截面中第i种纵向受拉钢筋的根数;
νi——构件横截面中第i种纵向受拉钢筋的相对粘结特性系数,可按表9-6取用;
表9-6 受拉钢筋的相对粘结特性系数
钢筋 类别 | 非预应力钢筋 | 先张法预应力钢筋 | 后张法预应力钢筋 |
光圆 钢筋 | 带肋 钢筋 | 带肋 钢筋 | 螺旋筋 钢 丝 | 刻痕钢丝 钢 绞 线 | 带肋 钢筋 | 钢绞线 | 光圆 钢丝 |
νi | 0.7 | 1.0 | 1.0 | 0.8 | 0.6 | 0.8 | 0.5 | 0.4 |
注:对于环氧树脂涂层带肋钢筋,其相对粘结特性系数应按表中系数的0.8倍取用。
3. 施工阶段的强度验算
(1)构件应力计算 先张法构件按完成第—批预应力损失时计算混凝土的压应力,即:
(9-39)
后张法构件按张拉端计算混凝土,且不考虑预应力损失,即:
(9-40)
(2)强度条件 施工阶段的强度条件要求如下:
(9-41)
式中 f ck'——与放张(先张法)或张拉预应力筋(后张法)时混凝土立方体抗压强度f cu'相对应的抗压强度标准值,可按附表1以线性内插法确定。
构件需要运输、吊装时,还需要验算起吊力。应力计算公式与吊装方式有关,如双吊点起吊,应按受弯构件计算吊点截面边缘混凝土的拉应力。起吊应力还需考虑动力系数,其值与加速度有关,一般可取1.5。
9.3.4后张法构件端部锚固区的局部承压验算
对于后张法预应力混凝土构件,预应力通过锚具并经过垫板传递给构件端部的混凝土,通常施加的预应力很大,锚具的总预压力也很大。然而,垫板与混凝土的接触面非常有限,导致锚具下的混凝土将承受较大的局部压应力,并且这种压应力需要经过一定的距离方能较均匀地扩散到混凝土的全截面上。
为了改善预应力构件端部混凝土的抗压性能,提高其局部抗压承载力,通常在锚固区段内配置一定数量的间接钢筋,配筋方式为横向方格钢筋网片或螺旋式钢筋,如图9-22所示。并在此基础上进行局部受压承载力验算,验算内容包括两个部分,一为局部承压面积的验算,即控制混凝土单位面积上局部压应力的大小;二是局部受压承载力的验算,即在一定间接配筋量的情况下,控制构件端部横截面上单位面积上的局部压力的大小。

1.局部受压面积验算
为防止垫板下混凝土的局部压应力过大,避免间接钢筋配置太多,那么局部受压面积应符合下式的要求,即
(9-44)
式中: Fl——局部受压面上作用的局部压力设计值,取Fl=1.2σconAp;
βc——混凝土强度影响系数,当fcu,k≤50MPa时,取βc =1.0;当fcu,k=80MPa时,取βc =0.8;当50MPa<fcu,k<80MPa时,按直线内插法取值;
fc——在承受预压时,混凝土的轴心抗压强度设计值;
Aln——扣除孔道和凹槽面积的混凝土局部受压净面积,当锚具下有垫板时,考虑到预压力沿锚具边缘在垫板中以45°角扩散,传到混凝土的受压面积计算,参见图9-23。
βl——混凝土局部受压的强度提高系数,按下式计算,即
(9-45)
其中,Ab——局部受压时的计算底面积,按毛面积计算,可根据局部受压面积与计算底面积按同形心且对称的原则来确定,具体计算可参照图9-24中所示的局部受压情形来计算,且不扣除孔道的面积;
Al——混凝土局部受压面积,取毛面积计算,具体计算方法与下述的Aln相同,只是计算中Al的面积包含孔道的面积;

应注意,式(9-45)是一个截面限制条件,即为预应力混凝土局部受压承载力的上限限值。若满足该式的要求,构件通常不会引发因受压面积过小而局部下陷变形或混凝土表面的开裂;若不能满足该式的要求,说明局部受压截面尺寸不足,应根据工程实际情况,采取必要的措施,例如调整锚具的位置、扩大局部受压的面积,甚至可以提高混凝土的强度等级,直至满足要求为止。
2.局部受压承载力验算
后张法预应力混凝土构件,在满足式(9-45)的局部受压截面限制条件后,对于配置有间接钢筋(如图9-22所示)的锚固区段,当混凝土局部受压面积Al不大于间接钢筋所在的核心面积Acor时,预应力混凝土的局部受压承载力应满足下式的要求,即
(9-46)
式中:βcor——配置有间接钢筋的混凝土局部受压承载力提高系数。按下式计算,即
(9-47)
其中,Acor——配置有方格网片或螺旋式间接钢筋核心区的表面范围以内的混凝土面积,根据其形心与Al形心重叠和对称的原则,按毛面积计算,且不扣除孔道面积,并且要求Acor≤Ab;
——间接钢筋对混凝土约束的折减系数,当fcu,k≤50MPa时,取1.0;当fcu,k=80MPa时,取0.85;当50MPa<fcu,k<80MPa时,按直线内插法取值;
fy——间接钢筋的抗拉强度设计值;
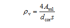
ρv——间接钢筋的体积配筋率。即配置间接钢筋的核心范围内,混凝土单位体积所含有间接钢筋的体积,并且要求ρv≥0.5%,具体计算与钢筋配置形式有关,
当采用方格钢筋网片配筋时,如图9-22(a)所示,则
(9-48)
并且要求分别在钢筋网片两个方向上单位长度内的钢筋截面面积的比值不宜大于1.5;
当采用螺旋式配筋时,如图9-22(b)所示,则
(9-49)
式中,n1、As1——分别为方格式钢筋网片在l1方向的钢筋根数和单根钢筋的截面面积;
n2、As2——分别为方格式钢筋网片在l2方向的钢筋根数和单根钢筋的截面面积;
Ass1——单根螺旋式间接钢筋的截面面积。
dcor——螺旋式间接钢筋内表面范围内核心混凝土截面的直径。
s―方格钢筋网片或螺旋式间接钢筋的间距。
经式(9-46)验算,满足要求的间接钢筋尚应配置在规定的h高度范围内,并且对于方格式间接钢筋网片不应少于4片;对于螺旋式间接钢筋不应少于4圈。
相反地,如果经过验算不能符合式(9-46)的要求时,必须采取必要的措施。例如,对于配置方格式间接钢筋网片者,可以增加网片数量、减少网片间距、提高钢筋直径和增加每个网片钢筋的根数等;对于配置螺旋式间接钢筋者,可以减少钢筋的螺距、提高螺旋筋的直径;当然也可以适当地扩大局部受压的面积和提高混凝土的强度等级。