9.4 预应力混凝土受弯构件的计算
对于预应力混凝土受弯构件的设计计算,主要包括预应力张拉施工阶段的应力验算、正常使用阶段的裂缝控制和变形验算、正截面承载力和斜截面承载力计算及施工阶段的局部承压验算等内容,其中使用阶段的裂缝控制验算包括正截面抗裂和裂缝宽度验算及斜截面抗裂验算。
9.4.1 预应力张拉施工阶段应力分析
如图9-25所示的预应力混凝土受弯构件的正截面,在荷载作用下的受拉区(施工阶段的预压区)配置预应力钢筋Ap和非预应力钢筋As;同时为了防止在制作、运输和吊装等施工阶段,在荷载作用下的受压区(施工阶段的预拉区)出现裂缝,相应地配置预应力钢筋A'p和非预应力钢筋A's。
预应力混凝土受弯构件在预应力张拉施工阶段的受力过程同前述预应力混凝土轴心受拉构件,计算预应力混凝土轴心受拉构件截面混凝土的有效预压应力spcI、spcII时,可分别将一个偏心压力NpI、NpII作用于构件截面上,然后按材料力学公式计算。压力NpI、NpII由预应力钢筋和非预应力钢筋仅扣除相应阶段预应力损失后的应力乘以各自的截面面积并反向,然后再叠加而得(图9-26)。计算时所用构件截面面积为:先张法用换算截面面积A0,后张法用构件的净截面面积An。公式表达时应力的正负号规定为:预应力筋以受拉为正,非预应力钢筋及混凝土以受压为正。

图9-26 受弯构件预应力钢筋及非预应力钢筋合力位置
1—换算截面重心轴 2—净截面重心轴
1.先张法施工阶段
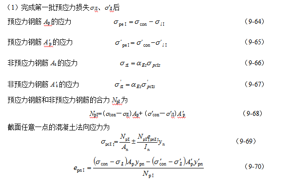
(1)完成第一批预应力损失slI、s'lI后
Np0I=(scon-slI)Ap+(s'con-s'lI)A'p (9-54)


式中:A0——换算截面面积,A0=Ac+aEpAp+aEsAs+aEpA'p+aEsA's;
I0——换算截面A0的惯性矩;
ep0I——Np0I至换算截面重心轴的距离;
ep0II——Np0II至换算截面重心轴的距离;
y0——换算截面重心轴至所计算的纤维层的距离;
yp、y'p——荷载作用受拉区、受压区预应力钢筋各自合力点至换算截面重心轴的距离;
ys、y's——荷载作用受拉区、受压区非预应力钢筋各自合力点至换算截面重心轴的距离。
spcIp(spcIIp)、s'pcIp(s'pcIIp)——荷载作用受拉区、受压区预应力钢筋各自合力点处混凝土的应力。
spcIs(spcIIs)、s'pcIs(s'pcIIs)——荷载作用受拉区、受压区非预应力钢筋各自合力点处混凝土的应力。
2.后张法施工阶段

(2)完成全部应力损失s l、s'l后


式中:An——净截面面积,An=Ac+aEsAs+aEsA's;
In——净截面An的惯性矩;
epnI——NpI至净截面重心轴的距离;
epnII——NpII至净截面重心轴的距离;
yn——净截面重心轴至所计算的纤维层的距离;
ypn、y'pn——荷载作用的受拉区、受压区预应力钢筋各自合力点至净截面重心轴的距离;
ysn、y'sn——荷载作用的受拉区、受压区非预应力钢筋各自合力点至净截面重心轴的距离。
spcIp(spcIIp)、s'pcIp(s'pcIIp)——荷载作用的受拉区、受压区预应力钢筋各自合力点处混凝土的应力。
spcIs(spcIIs)、s'pcIs(s'pcIIs)——荷载作用的受拉区、受压区非预应力钢筋各自合力点处混凝土的应力。
9.4.2 使用阶段
1.消压状态
外荷载增加至截面弯矩为M0时,受拉边缘混凝土预压应力刚好为零,这时弯矩M0称为消压弯矩。则
(9-78)
所以
(9-79)
式中:W0——为换算截面对受拉边缘弹性抵抗矩,W0=I0/y,其中y为换算截面重心至受拉边缘的距离。
spcII——扣除全部预应力损失后,在截面受拉边缘由预应力产生的混凝土法向应力;
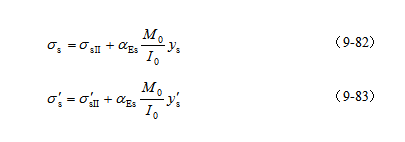
此时预应力钢筋Ap的应力sp由speⅡ增加
,预应力钢筋A'p的应力s'p由s'peⅡ减少
,即

相应的非预应力钢筋As的压应力ss由ssⅡ减少
,非预应力钢筋A's的压应力s's由s'sⅡ增加
和,即

2.开裂状态
外荷载继续增加,使混凝土拉应力达到混凝土轴心抗拉强度标准值ftk,截面下边缘混凝土即将开裂。此时截面上受到的弯矩即为开裂弯矩Mcr,则
式中:γ——受拉区混凝土塑性影响系数,按附表3-6采用;
spcII——扣除全部预应力损失后,在截面受拉边缘由预应力产生的混凝土法向应力。
9.4.3 施工阶段混凝土应力控制验算
预应力混凝土受弯构件的受力特点在制作、运输和安装等施工阶段与使用阶段是不同的。在制作时,构件受到预压力及自重的作用,使构件处于偏心受压状态,构件的全截面受压或下边缘受压、上边缘受拉,如图9-27(a)。在运输、吊装时如图9-27(b),自重及施工荷载在吊点截面产生负弯矩如图9-27(c),与预压力产生的负弯矩方向相同如图9-27(d),使吊点截面成为最不利的受力截面。因此,预应力混凝土构件必须进行施工阶段的混凝土应力控制验算。

(a)制作阶段;(b)运输和吊装;(c)制作阶段产生的内力图;
(d)运输吊装时自重产生的内力图
图9-27 预应力构件制作、吊装时的内力图
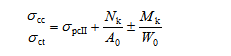
截面边缘的混凝土法向应力为
(9-85)
式中,scc、sct——相应施工阶段计算截面边缘纤维的混凝土压应力、拉应力;
spcII——预应力作用下验算边缘的混凝土法向应力。可由式(9-62)、式(9-76)求得;
Mk——构件自重及施工荷载标准组合在计算截面产生的轴向力值、弯矩值。
W0——验算边缘的换算截面弹性抵抗矩。
施工阶段截面应力验算,一般是在求得截面应力值后,按是否允许出现裂缝分别对混凝土应力进行控制。
(1)对于施工阶段不允许出现裂缝的构件,或预压时全截面受压的构件
式中:f¢tk、f¢ck——与各施工阶段混凝土立方体抗压强度f¢cu相应的轴心抗拉、抗压强度标准值,可由附表1-1用线性内插法查得;
(2)对于施工阶段预拉区允许出现裂缝的构件,当预拉区不配置预应力钢筋(A'p=0)时

9.4.4 正常使用极限状态验算
1.正截面抗裂验算
(1)一级裂缝控制等级的构件,严格要求不出现裂缝
在荷载标准组合下应满足条件
Mk /W0-spcII≤0 (9-90)
(2)二级裂缝控制等级的构件,一般要求不出现裂缝
在荷载标准组合下应满足条件
Mk /W0-spcII≤ftk (9-91)
在荷载永久组合下应满足条件
Mq / W0-spcII≤0 (9-92)
式中:Mk、Mq——标准荷载组合、永久荷载组合下弯矩值;
W0——换算截面对受拉边缘的弹性抵抗矩;
ftk——混凝土的轴心抗拉强度标准值。
spcII——扣除全部预应力损失后,截面受拉边缘由预应力产生的混凝土法向应力;
比较式(9-84)和式(9-91)可见,在实际构件抗裂验算时忽略了受拉去混凝土塑性变形对截面抗裂产生的有利影响,使截面抗裂具有一定的可靠保障。
2.斜截面抗裂验算
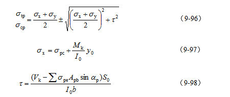
(1)混凝土主拉应力
对一级裂缝控制等级的构件,严格要求不出现裂缝
(9-93)
对二级裂缝控制等级的构件,一般要求不出现裂缝
(9-94)
(2)混凝土主压应力
对以上两类构件(一、二级控制)
(9-95)
式中:stp、scp——混凝土的主拉应力和主压应力。
如满足上述条件,则认为斜截面抗裂,否则应加大构件的截面尺寸。
由于斜裂缝出现以前,构件基本上还处于弹性工作阶段,故可用材料力学公式计算主拉应力和主压应力。即

式中:sx——由预应力和弯矩Mk在计算纤维处产生的混凝土法向应力;
sy——由集中荷载(如吊车梁集中力等)标准值Fk产生的混凝土竖向压应力,在Fk作用点两侧一定长度范围内;
t——由剪力值Vk和预应力弯起钢筋的预应力在计算纤维处产生的混凝土剪应力(如有扭矩作用,尚应考虑扭矩引起的剪应力);当有集中荷载Fk作用时,在Fk作用点两侧一定长度范围内,由Fs产生的混凝土剪应力;
spc——扣除全部预应力损失后,在计算纤维处由预应力产生的混凝土法向应力;
spe——预应力钢筋的有效预应力;
Mk、Vk——按荷载标准组合计算的弯矩值、剪力值;
S0——计算纤维层以上部分的换算截面面积对构件换算截面重心的面积矩。
对预应力混凝土梁,在集中荷载作用点两侧各0.6h的长度范围内,集中荷载标准值产生的混凝土竖向压应力和剪应力,可按图9-28取用。
(a)截面 (b)竖向压应力sy分布 (c)剪应力t 分布
图9-28 预应力混凝土梁集中力作用点附近应力分布图
Fs—集中荷载标准值;Vsl、Vsr—集中荷载标准值Fs产生的左端、右端的剪力值;
tl、tr—集中荷载标准值Fs产生的左端、右端的剪应力
3.裂缝宽度验算
使用阶段允许出现裂缝的预应力受弯构件,应验算裂缝宽度。按荷载标准组合并考虑荷载的长期作用影响的最大裂缝宽度wmax(mm),不应超过附表3-5规定的允许值。
当预应力混凝土受弯构件的混凝土全截面消压时,其起始受力状态等同于钢筋混凝土受弯构件,因此可以按钢筋混凝土受弯构件的类似方法进行裂缝宽度计算,计算公式表达形式与轴心受拉构件相同,即式(9-42)
(9-42)式中,对预应力混凝土受弯构件,取αcr=1.5;计算ρte采用的有效受拉混凝土截面面积Ate取腹板截面面积的一半与受拉翼缘截面面积之和,即Ate=0.5bh+(bf-b)hf,其中bf、hf分别为受拉翼缘的宽度、高度。
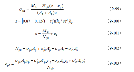
纵向钢筋等效应力σsk可由图9-29对受压区合力点取矩求得,即

式中:Mk——由荷载标准组合计算的弯矩值;
z——受拉区纵向非预应力和预应力钢筋合力点至受压区合力点的距离;
Np0——混凝土法向预应力等于零时全部纵向预应力和非预应力钢筋的合力。
ep0——Np0的作用点至换算截面重心轴的距离。
ep——Np0的作用点至纵向预应力和非预应力受拉钢筋合力点的距离。
sp0——预应力钢筋的合力点处混凝土正截面法向应力为零时,预应力钢筋中已存在的拉应力。先先张法
,后张法
。
s'p0——受压区的预应力钢筋A'p合力点处混凝土法向应力为零时的预应力钢筋应力。先张法
,后张法
。
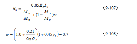
4.挠度验算
预应力混凝土受弯构件使用阶段的挠度是由两部分所组成:①外荷载产生的挠度;②预加应力引起的反拱。两者可以互相抵消部分,故预应力混凝土受弯构件的挠度小于钢筋混凝土受弯构件的挠度。
(1)外荷载作用下产生的挠度 
外荷载引起的挠度,可按材料力学的公式进行计算
(9-104)
式中:s——与荷载形式、支承条件有关的系数;
B——荷载效应标准组合并考虑荷载长期作用影响的长期刚度,按下列公式计算:
(9-105)
式中,θ——考虑荷载长期作用对挠度增大的影响的系数,取θ=2.0
Bs——荷载标准组合下预应力混凝土受弯构件的短期刚度,可按下列公式计算:
①不出现裂缝的构件
(9-106)
②出现裂缝的构件

式中:I0——换算截面的惯性矩;
Mcr——换算截面的开裂弯矩,可按(9-84)计算。当Mcr / Mk>1.0时,取Mcr / Mk =1.0。
gf——受拉翼缘面积与腹板有效面积的比值,gf=(bf-b)hf/bh0,其中bf、hf分别为受拉翼缘的宽度、高度。
对预压时预拉区允许出现裂缝的构件,Bs应降低10%。
(2)预应力产生的反拱值
由预加应力引起的反拱值,可按偏心受压构件求挠度的公式计算
(9-109)
式中:Np——扣除全部预应力损失后的预应力钢筋和非预应力钢筋的合力,先张法为Np0Ⅱ,后张法为NpⅡ;
ep——Np对截面重心轴的偏心距,先张法为ep0Ⅱ,后张法为epnⅡ;
荷载标准组合时的反拱值是由于构件施加预应力引起的,按短期刚度
计算。考虑到在使用阶段预应力的长期作用下,预压区混凝土的徐变变形影响使梁的反拱值增大,故使用阶段的长期刚度
。
对永久荷载所占比例较小的构件,应考虑反拱过大对使用上的不利影响。
(3)荷载作用时的总挠度f
(9-110)
f计算值应满足附表13中的允许挠度值。
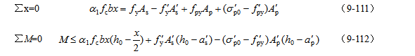
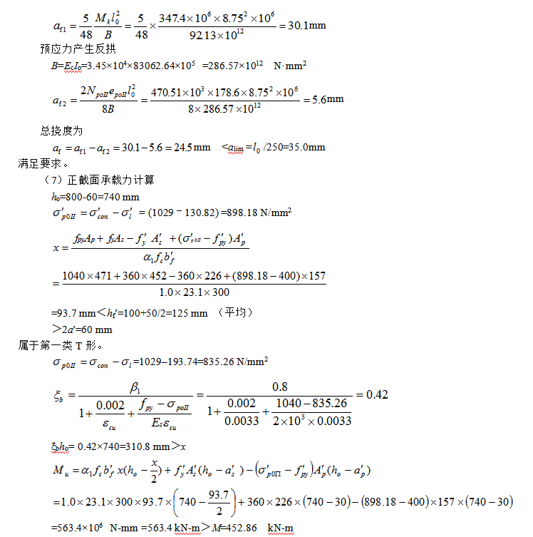
9.4.5 正截面承载力计算
1.计算公式
当外荷载增大至构件破坏时,截面受拉区预应力钢筋和非预应力钢筋的应力先达到屈服强度fpy和fy,然后受压区边缘混凝土应变达到极限压应变致使混凝土压碎,构件达到极限承载力。此时,受压区非预应力钢筋的应力可达到受压屈服强度fy'。而受压区预应力钢筋的应力sp¢可能是拉应力,也可能是压应力,但一般达不到受压屈服强度fpy'。
矩形截面预应力混凝土受弯构件,与普通钢筋混凝土受弯构件相比,截面中仅多出AP与A'P两项钢筋,如图9-30所示。
根据截面内力平衡条件可得

式中:M——弯矩设计值;
α1——系数,按表3-2取值;
h0——截面有效高度,h0=h-a;
a——受拉区预应力钢筋和非预应力钢筋合力点至受拉区边缘的距离;
ap',as'——分别为受压区预应力钢筋A'p、非预应力钢筋A's各自合力点至受压区边缘的距离;
s'p0——受压区的预应力钢筋A'p合力点处混凝土法向应力为零时的预应力钢筋应力。
先张法
,后张法
。

2.适用条件
混凝土受压区高度x应符合下列要求

式中:a'——受压区钢筋合力点至受压区边缘的距离;当s¢p0-f¢py为拉应力或A'p=0时,式(9-114)中的a' 应用a's代替。
当x<2a',且s¢p0-fpy'为压应力时,正截面受弯承载力可按下列公式计算:
式中:ap,as——受拉区预应力钢筋Ap、非预应力钢筋As各自合力点至受拉区边缘的距离。
预应力钢筋的相对界限受压区高度xb应按下列公式计算
式中,β1——系数,按表3-2取值;
sp0——预应力钢筋的合力点处混凝土正截面法向应力为零时,预应力钢筋中已存在的拉应力。先先张法
,后张法
。
9.4.6 斜截面承载力计算
1.斜截面受剪承载力计算公式
试验表明,由于预压应力和剪应力的复合作用,增加了混凝土剪压区的高度和骨料之间的咬合力,延缓了斜裂缝的出现和发展,因此预应力混凝土构件的斜截面受剪承载力比钢筋混凝土构件要高。
对于矩形、T形和工形截面预应力混凝土梁,斜截面受剪承载力可按下式计算:
(1)当仅配置箍筋时:
(9-117)
(2)当配置箍筋和弯起钢筋时(图9-31):

式中,Vcs——斜截面上混凝土和箍筋受剪承载力设计值,按式(3-84)或式(3-85)计算;
Vsb——非预应力弯起钢筋的受剪承载力,按式(3-86)计算;
Vp——由于预压应力所提高的受剪承载力;
Np0——计算截面上混凝土法向应力为零时的预应力钢筋和非预应力钢筋的合力,按式(9-102)计算。当Np0>0.3fcA0时,取Np0=0.3fcA0。
Vpb——预应力弯起钢筋的受剪承载力;
ap——斜截面处预应力弯起钢筋的切线与构件纵向轴线的夹角,如图9-31所示;
Apb——同一弯起平面的预应力弯起钢筋的截面面积。

对Np0引起的截面弯矩与外荷载引起的弯矩方向相同的情况,以及预应力混凝土连续梁和允许出现裂缝的简支梁,不考虑预应力对受剪承载力的提高作用,即取Vp=0。
当符合式(9-121)或式(9-122)的要求时,可不进行斜截面的受剪承载力计算,仅需按构造要求配置箍筋。
一般受弯构件
(9-121)
集中荷载作用下的独立梁
(9-122)
预应力混凝土受弯构件受剪承载力计算的截面尺寸限制条件、箍筋的构造要求和验算截面的确定等,均与钢筋混凝土受弯构件的要求相同。
2.斜截面受弯承载力计算公式
预应力混凝土受弯构件的斜截面受弯承载力计算如图9-31所示,计算公式为
(9-123)
此时,斜截面的水平投影长度可按下列条件确定
(9-124)
式中:V——斜截面受压区末端的剪力设计值;
z——纵向非预应力和预应力受拉钢筋的合力至受压区合力点的距离,可近似取z=0.9h0;
zsb、zpb——同一弯起平面内的非预应力弯起钢筋、预应力弯起钢筋的合力至斜截面受压区合力点的距离;
zsv——同一斜截面上箍筋的合力至斜截面受压区合力点的距离;
当配置的纵向钢筋和箍筋满足第3.3.5节规定的斜截面受弯构造要求时,可不进行构件斜截面受弯承载力计算。
在计算先张法预应力混凝土构件端部锚固区的斜截面受弯承载力时,预应力钢筋的抗拉强度设计值在锚固区内是变化的,在锚固起点处预应力钢筋是不受力的,该处预应力钢筋的抗拉强度设计值应取为零;在锚固区的终点处取fpy,在两点之间可按内插法取值。锚固长度la按第9.5.5节规定计算。