高等数学

石红芳、于圆圆、辛乐、段素芬、穆洪华、崔亦华、郭家锋、张明成

目录

  • 1 绪论
    • 1.1 为什么学高等数学
  • 2 工具篇 函数与极限
    • 2.1 第1节 研究对象-函数
      • 2.1.1 1.1.1函数的概念
      • 2.1.2 1.1.2 复合函数
      • 2.1.3 1.1.3 反函数
    • 2.2 第2节 运算工具- 极限
      • 2.2.1 1.2.1 数列的极限
      • 2.2.2 1.2.2 数列极限的性质
      • 2.2.3 1.2.3 函数的极限
      • 2.2.4 1.2.4 函数极限的运算
    • 2.3 第3节 无穷小与无穷大
      • 2.3.1 1.3.1 无穷小与无穷大
      • 2.3.2 1.3.2 无穷小的比较
    • 2.4 第4节 两个重要极限
      • 2.4.1 1.4.1 极限存在准则
      • 2.4.2 1.4.2 两个重要的极限
    • 2.5 第5节 连续与间断
      • 2.5.1 1.5.1 函数的连续性
      • 2.5.2 1.5.2 间断点的类型
    • 2.6 第6节 闭区间连续函数
      • 2.6.1 1.6.1 闭区间连续函数运算
      • 2.6.2 1.6.2 闭区间连续函数的性质
  • 3 微分学基础 —导数与微分
    • 3.1 第1节 导数概念
      • 3.1.1 2.1.1 引例
      • 3.1.2 2.1.2 导数的概念
      • 3.1.3 2.1.3 导数的几何意义
    • 3.2 第2节 求导运算
      • 3.2.1 2.2.1 函数四则运算求导法则
      • 3.2.2 2.2.2 反函数的求导法则
      • 3.2.3 2.2.3 复合函数的求导法则
      • 3.2.4 2.2.4高阶导数
      • 3.2.5 2.2.5隐函数及参数方程求导
    • 3.3 第3节 微分
      • 3.3.1 2.3.1 微分概念
  • 4 微分学魅力-导数的应用
    • 4.1 第1节 微分中值定理
      • 4.1.1 3.1.1费马引理及 罗尔定理
      • 4.1.2 3.1.2 拉格朗日中值定理
    • 4.2 第2节 洛必达法则
      • 4.2.1 3.2.1 第一类型0/0
      • 4.2.2 3.2.2 第二类型∞/∞
    • 4.3 第3节 导数刻画函数
      • 4.3.1 3.3.1函数的单调性及凹凸性
      • 4.3.2 3.3.2 函数的极值和最值
  • 5 积分学前奏-不定积分
    • 5.1 第1节 不定积分概念及性质
      • 5.1.1 4.1.1不定积分的概念
      • 5.1.2 4.1.2不定积分的性质
    • 5.2 第2节 不定积分的计算
      • 5.2.1 4.2.1第一换元法
      • 5.2.2 4.2.2第二换元法
      • 5.2.3 4.2.3分部积分法
      • 5.2.4 4.2.4有理函数积分
  • 6 积分学精髓-定积分及应用
    • 6.1 第1节 定积分概念及性质
      • 6.1.1 5.1.1定积分概念及几何意义
      • 6.1.2 5.1.2定积分的性质
    • 6.2 第2节 微积分基本公式
      • 6.2.1 5.2.1积分上限函数及其导数
      • 6.2.2 5.2.2牛顿-莱布尼兹公式
    • 6.3 第3节 定积分运算
      • 6.3.1 5.3.1定积分的换元法
      • 6.3.2 5.3.2定积分分部积分法
    • 6.4 第4节 定积分的应用
      • 6.4.1 5.4.1求平面图形的面积
      • 6.4.2 5.4.2求旋转体体积
      • 6.4.3 5.4.3求曲线的弧长
  • 7 高观点下看小学数学
    • 7.1 第1节 小学面积教学
    • 7.2 第2节 小学体积教学
    • 7.3 第3节 小学周长教学
  • 8 *岗课赛证拓展模块
    • 8.1 绪论:2023年考试大纲
    • 8.2 项目1:导数与微分
    • 8.3 项目2:多元函数概念
    • 8.4 项目3:偏导数及高阶偏导数
项目1:导数与微分
  • 1 教学视频
  • 2 解题步骤

教学视频

视频1 导数考点分析及知识框架

视频2 导数的概念

考题讲解

第104题

第105题

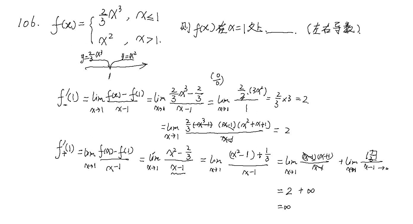
第106题

第107题

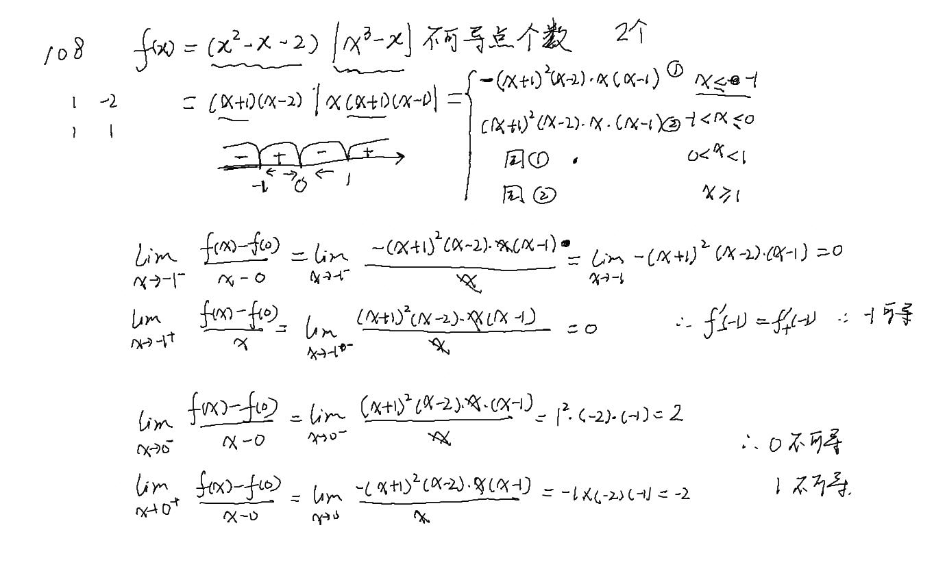
第108题

第109题