-
1 内容
-
2 作业
儿童中枢神经系统感染
◇ 尽管过去30年疫苗所提供预防以及高效安全的抗生素临床应用,儿童中枢神经系统感染仍然是一个重要的临床问题
◇ 神经系统感染成为导致儿童神经系统永久损伤、残疾以及死亡的主要原因
◇ 一些先天性感染及出生后感染尚不能有效控制
▷ 病毒性脑炎
▷ 疫苗广泛应用之前:麻疹、风疹、腮腺炎、脊灰,乙脑
▷ 新近的主要病原西尼罗病毒、肺炎支原体、肠病毒71、澳大利亚狂犬病病毒、尼帕病毒
▷ 免疫介导脑炎:感染后脑炎、ADEM、anti-NMDAR脑炎
Semin Pediatr Neurol 2011;18:88-90
Pediatr Emer Care 2013;29: 235-244
细菌性脑膜炎
▪ 各种细菌侵入中枢神经系统引起的急性感染,是一类儿童常见的严重感染性疾病
▪ 发病率:
▪ 发达国家:1.4~6.0/10万
▪ 发展中国家:40~101/10万
▪ 病死率:
▪ 发达国家:1970s 50% / 2000s <10%
▪ 发展中国家:~50%
▪ 神经系统后遗症:10~20%
LANCET, 2012. 379(9832): 2151-2161; N Engl J Med, 2011, 364(21): 2016-2025
WHO统计2010年5岁以下全球儿童死亡原因及我国死亡人数:


细菌性脑膜炎
(1) 不同年龄细菌性脑膜炎的病原学
(2) 不同年龄段的临床及实验室表现特点
(3) 病原微生物学方法
(4) 经验治疗
(5) 各年龄段急性并发症
(6) 各年龄段神经发育结局
(7) 预防:疫苗,预防性抗生素应用
N Engl J Med 2011.364: 2016–25

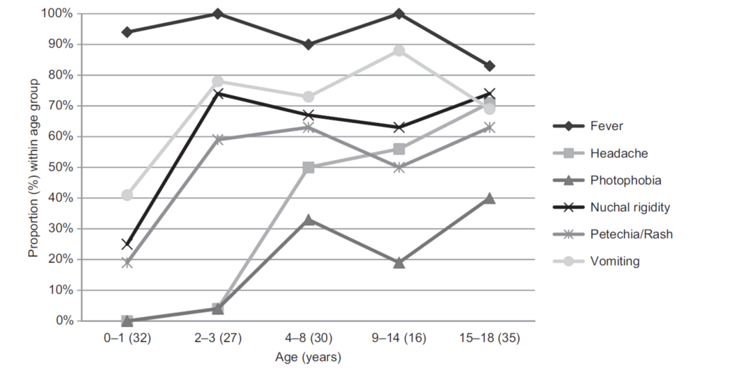
不同年龄患儿的临床表现


Figure 2. Prevalence of clinical symptoms and signs in children with bacterial meningitis in Iceland by age (The number of patients in each age group is given in parenthesis).
局限性化脓性感染
◇ 具有危险因素:
▷ 先天性心脏病
▷ 免疫力低下(先天性免疫缺陷病/HIV/AIDS)
▷ 临近脏器/脊髓/
▷ 屏障受损(骨/脑膜/血脑)
◇ 脑实质化脓性感染
▷ 脑脓肿
▷ 硬膜外脓肿
(1) 提示有脑脓肿/硬膜外脓肿的相关因素
(2) 与脑脓肿相关的微生物学 (如:枸橼酸杆菌属 )
(3) 相关的临床表现
(4) 抗生素应用及手术指征
2001-2012 146例BM特点:
▷ 不同年龄患儿的临床表现不同
▷ 主要病原菌为凝固酶阴性葡萄球菌、大肠埃希菌、肠球菌和肺炎链球菌;万古霉素、利奈唑胺对于G+菌感染,美罗培南对于G-菌感染是敏感的抗菌药物
▷ 急性期并发症主要为硬膜下积液、脑积水和局部神经损害,主要为凝固酶阴性葡萄球菌、大肠埃希菌、肺炎链球菌和鲍氏不动杆菌感染;肺炎链球菌性脑膜炎患儿预后不佳



