-
1 PPT
-
2 思维导图

肾上腺皮质激素是肾上腺皮质所分泌的激素的总称。
肾上腺位于肾脏的上方,左右各一,肾上腺分为两部分:外周部分为皮质,占大部分;中心部分为髓质,占小部分。


概述

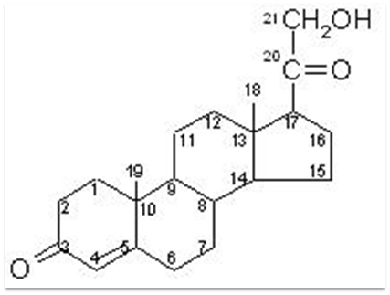
肾上腺皮质激素的化学结构:

肾上腺皮质激素:糖皮质激素、盐皮质激素
糖皮质激素
生理作用
1.糖代谢:促进糖的异生,减少糖的分解
2. 蛋白质代谢:促进分解,减少合成
3. 脂肪代谢:促进分解,减少合成
4. 对水盐代谢的影响:留钠排钾,减少小肠对钙的吸收
5. 对血细胞生成与破坏的影响
应激反应中糖皮质激素大量分泌的意义
◆通过促进蛋白质分解和糖异生作用可使血糖维持在较高水平,有利于向组织细胞提供充足的能量物质;
◆通过允许作用改善心血管系统的功能;
◆稳定溶酶体膜,减少溶酶外漏,防止或减轻组织损伤;
◆通过抑制化学介质,如白三烯(LTs),前列腺素(PGs),5-羟色胺(5-HT)等的合成释放,减轻炎性反应,减少组织损伤。
但是,大量分泌的糖皮质激素对机体也有消极的影响,例如:导致机体出现负氮平衡; 削弱机体的抵抗力,使机体遭受感染的潜在危险性增大; 使创伤的修复,愈合受阻。
糖皮质激素的分泌调节
分泌调节的特点:
昼夜节律性
负反馈抑制作用
应激时一次性大剂量释放

糖皮质激素类药物的分类
长效类 :地塞米松、倍他米松
中效类 :泼尼松、氢化泼尼松
短效类 :可的松、氢化可的松
外 用 :氟轻松
药理作用
◆抗炎作用
◆抗免疫作用
◆抗毒作用
◆抗休克作用
◆对血液成分的影响
◆中枢作用
◆其他作用
作用机制
糖皮质激素(GC) 是一种脂溶性分子,易透过细胞膜进入细胞,与胞浆中的糖皮质激素受体(GR)相结合,影响参与炎症的一些基因转录而产生抗炎效应。GR 是一条由约 800 个氨基酸残基组成的直链多肽,未活化的GR在胞浆内与热休克蛋白(heat shock protein90,HSP90)等结合成复合体,这种复合体与GC结合后,HSP90等成分与GR解离,而激素受体复合物即进入细胞核,通过增加或减少基因转录而抑制炎症过程的多个环节而发挥抗炎作用。
临床用途
替代疗法
◆严重感染性疾病
◆防止某些炎症的后遗症
◆自身免疫性疾病和过敏性疾病
◆血液病
◆抗休克
◆局部应用
不良反应
一亢进一减退五诱发一反跳
◆医源性肾上腺皮质功能亢进症
◆医源性肾上腺皮质功能减退症
◆诱发溃疡
◆诱发感染
◆诱发高血压
◆诱发糖尿病
◆诱发精神病
◆反跳现象,故停药应逐渐减量,停药前两周给予ACTH
轻度:
①皮肤变薄
②肌肉萎缩
③痤疮
④浮肿
⑤低血钾
⑥高血压
⑦精神症状
重度:
①易于感染
②骨质疏松
③糖尿病
④消化性溃疡
⑤动脉粥样硬化
停药反应
糖皮质激素类药物的给药方法
◆小剂量替代疗法
◆一般剂量长期疗法
◆大剂量突击疗法
◆隔日疗法
氢化可的松注射液与输液的配伍
氢化可的松在水中几乎不溶解(溶解度0.028%),其注射液是以稀乙醇(50%)为溶剂制成的(5mg/ml)。该药不可直接注射,必须加入输液(5%葡萄糖液或0.9%氯化钠液)。每20ml注射液(含药100mg)需要用输液500ml,终浓度为0.2mg/ml,可良好溶解。如若输液量不足或振摇不匀,可产生不溶性沉淀。因注射液中含乙醇,乙醛脱氢酶缺乏者使用后可引起二硫仑(双硫醒)反应,禁忌使用。
案例:
患者,男性,36岁,肾病综合征并发尿道感染,经药敏实验,细菌对四环素敏感。口服四环素片(0.5mg,qid)、泼尼松片(10mg,tid)、维生素C片(0.2mg,tid)治疗。联合用药二周后,出现大量水泻,每天十余次,并有斑块状假膜排出,伴发热、腹痛、腹胀、恶心呕吐。
用药分析与指导:
1.泼尼松为糖皮质激素,这类药物能抑制巨噬细胞对抗原的吞噬和处理,阻碍淋巴母细胞的生长,加速小淋巴细胞的破坏,故长期或大剂量应用能抑制机体免疫功能。
2.泼尼松若与广谱抗生素四环素类药物长期同用,干扰肠道内各细菌间相互制约的平衡,因此在免疫作用被抑制的情况下,再用四环素类药物,便引起四环素耐药菌异常繁殖,造成二重感染。故不可较长时间合用。短期合用可加强抗炎效果,减轻组织的炎症反应,有利于对感染的控制。其它糖皮质激素制剂如可的松、地塞米松、氢化可的松等与四环素类药物合用时亦有类似作用。
处方分析
患者,男,60岁,因支气管哮喘入院,患者还伴有高血压及糖尿病。医生处方如下,分析是否合理用药,为什么?
RP:①0.9%生理盐水100ml,氨茶碱0.25g,地塞米松5mg,iv.gtt;
②特布他林2.5mg,p.o. b.i.d
分析:该处方不合理。
1.地塞米松可致血糖、血压升高,不利于糖尿病、高血压患者;
2.特布他林也会引起血糖和血压升高,临床禁用于高血压、糖尿病患者;
3.特布他林与氨茶碱合用时,应适当减少氨茶碱的用药剂量。
课堂活动
高某,男,58岁。近几个月来感觉四肢无力,下肢水肿,尿中泡沫增多,遂去医院就诊。经实验室检查,尿蛋白50mg/dl,血浆白蛋白25g/L,总胆固醇8.46mmol/L,甘油三酯4.30 mmol/L。结合其他的检查,诊断为肾病综合征。
课堂讨论:
1.该患者可以用哪些药物治疗?
2.用药过程中应注意哪些问题?
参考答案:
1.该患者可以选择的药物:
①利尿消肿 氢氯噻嗪25mg,每日三次口服。
②减少尿蛋白 卡托普利 50mg,每日二次口服。
③抗免疫、抗炎 泼尼松 20mg,每日三次口服。连服8周后,视病情缓慢减药。
2.三种药物中,氢氯噻嗪和卡托普利分别为对症治疗。
糖皮质激素则是主要的治疗措施,因长期使用糖皮质激素会造成严重不良反应,因此,当症状缓解后,应逐渐减量。每隔2~3周,减少原用药量的10%。减至20mg/d 时减药要更加缓慢。最后以最小有效剂量10mg/d维持6个月左右。
盐皮质激素类药
肾上腺皮质球状带分泌盐皮质激素
主要包括醛固酮、去氧皮质酮及皮质酮。
生理作用
◆促进远曲小管及集合管的Na+-K+及Na+-H+交换,保钠、潴水、排钾。
◆盐皮质激素分泌主要受血浆电解质组成及肾素-血管紧张素-醛固酮系统的调节。
临床用途
◆治疗慢性肾上腺皮质功能减退症,纠正水、电解质紊乱,恢复水、电解质平衡。
不良反应
◆过量引起水钠潴留,水肿、高血压、低钾血症。
促皮质激素和皮质激素抑制药
促皮质素(ACTH)
皮质激素抑制药
米托坦 :选择性地使肾上腺皮质束状带及网状带细胞萎缩、坏死,但不影响球状带,故醛固酮分泌不受影响。主要用于不可切除的皮质癌、切除后复发癌以及皮质癌术后辅助治疗。可有厌食、恶心、腹泻、皮疹、嗜睡、头痛、眩晕、乏力、中枢抑制及运动失调等反应。
美替拉酮 :能抑制11β-羟化反应,干扰11-去氧皮质酮转化为皮质酮及11-去氧氢化可的松转化为氢化的松。临床用于治疗肾上腺皮质肿瘤和产生ACTH的肿瘤所引起的氢化可的松过多症和皮质癌。还可用于垂体释放ACTH功能试验。不良反应较少,可有眩晕、消化道反应等。


