-
1 学习资料
-
2 PPT

分类
胆碱受体阻断药分为M胆碱受体拮抗剂和N胆碱受体拮抗剂。胆碱受体阻断药作用于交感神经,骨骼肌收缩。

M胆碱受体拮抗剂
M胆碱受体拮抗剂分为颠茄生物碱类和合成类。
颠茄生物碱类

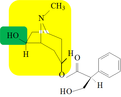
颠茄生物碱类是茄科植物提取物。主要有阿托品、山莨菪碱、东莨菪碱(麻沸散洋金花的成分)。

中枢作用:东莨菪碱>阿托品>山莨菪碱
阿托品

1.药理作用
M样作用:
(1)眼睛:扩瞳、升眼压、调节麻痹
(2)腺体:抑制分泌:汗腺、唾液腺>呼吸道腺体>胃液
(3)心脏:心率加快、加速房室传导
(4)支气管:松弛支气管、胆管、输尿管平滑肌较弱
中枢作用:大剂量兴奋中枢。
2.临床应用
(1)松弛内脏平滑肌:用于各种内脏绞痛和遗尿症,如胃、肠绞痛及膀胱刺激症状;对胆绞痛、肾绞痛的疗效较差(应用东莨菪碱)。
(2)腺体分泌减少:全身麻醉前给药,减少麻醉过程中支气管黏液分泌,预防手术引起的吸入性肺炎。严重盗汗和流涎症。
(3)心律过缓:窦房阻滞、房室阻滞
(4) 眼科应用:
虹膜睫状体炎:常与缩瞳药合用
检查眼底、儿童验光配镜
(5)感染中毒性休克:
用于暴发型流脑、中毒性菌痢、中毒性肺炎所致的休克。对休克伴有心动过速或高热者禁用!
(6)解救有机磷酸酯类中毒:
可以迅速消除中毒时的M样症状
用药原则:及早、足量、反复给药,以达“阿托品化”。
“阿托品化”的主要表现:病人出现口干、皮肤干燥、颜面潮红、瞳孔中度扩大、心跳增加等
3.不良反应
腺体分泌减少:口干、便秘、出汗减少
扩瞳、调节麻痹:散瞳、视物不清、眼压升高
平滑肌松弛:排尿困难、胃肠动力低下、胃食管反流
4.禁忌症
青光眼、前列腺增生、高热、幽门梗阻与肠梗阻、重症肌无力禁用
山莨菪碱

1.作用特点
▶ 活性弱;扩瞳、抑制腺体分泌作用弱。
▶ HBr盐:654;天然品左旋:654-1;人工合成品外消旋体:654-2(副作用略大)。
▶ 用于:感染中毒性休克、胃肠绞痛、胆道痉挛;有机磷中毒
东莨菪碱

1.作用特点
▶ 莨菪生物碱中中枢作用最强
▶ 散瞳及抑制腺体分泌作用比阿托品强
全身麻醉前给药、预防和控制晕动症、震颤麻痹、狂躁性精神病;内脏平滑肌痉挛、睫状肌麻痹、感染性休克和有机磷酸酯类中毒。

