



极值是一个函数的极大值或极小值。如果一个函数在一点的一个邻域内处处都有确定的值,而以该点处的值为最大(小),这函数在该点处的值就是一个极大(小)值。如果它比邻域内其他各点处的函数值都大(小),它就是一个严格极大(小)。该点就相应地称为一个极值点或严格极值点。

极值的定义如下:
若函数f(x)在x₀的一个邻域D有定义,且对D的所有点,都有f(x)≤f(x₀),则称f(x₀)是函数f(x)的一个极大值。
同理,若对D的所有点,都有f(x)≥f(x₀),则称f(x₀)是函数f(x)的一个极小值。
极值的概念来自数学应用中的最大最小值问题。根据极值定律,定义在一个有界闭区域上的每一个连续函数都必定达到它的最大值和最小值,问题在于要确定它在哪些点处达到最大值或最小值。如果极值点不是边界点,就一定是内点。因此,这里的首要任务是求得一个内点成为一个极值点的必要条件。
分类
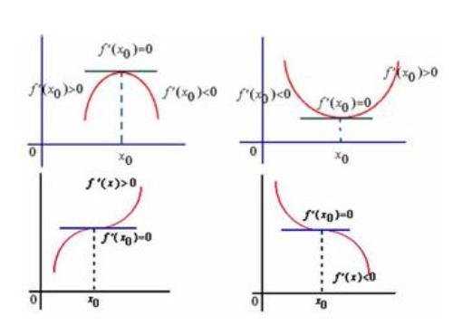
函数的一种稳定值,即一个极大值或一个极小值,极值点只能在函数不可导的点或导数为零的点上取得。
在给定的时期内,或该时期的一定月份或季节内观测到的气候要素的最高值或最低值。如果这个时期是整个有观测资料的时期,这个极值就是绝对极值。
多元函数
对于多元函数,同样存在极值点的概念。此外,也有鞍点的概念。
计算步骤
步骤
(1)、求导数f'(x);
(2)、求方程f'(x)=0的根;
(3)、检查f'(x)在方程的左右的值的符号,如果左正右负,那么f(x)在这个根处取得极大值;如果左负右正那么f(x)在这个根处取得极小值。
特别注意
f'(x)无意义的点也要讨论。即可先求出f'(x)=0的根和f'(x)无意义的点,再按定义去判别。
例题
求函数f(x,y)=x^3+y^3-2x^2-2y^2+6x的极值
应该是fx=0,fy=0得到四个点,再代入值比较大小。
fx=3x^2-4x+6>0恒成立
fy=3y^2-4y=0得到y=0或者y=4/3
定理1(必要条件): 设函数z = f(x,y)在点(x0,y0)具有偏导数,且在点(x0,y0)处有极值,则它在该点的偏导数必然为零
fx(x0,y0) = 0,fy(x0,y0) = 0。
定理2(充分条件): 设函数z = f(x,y)在点(x0,y0)的某领域内连续且有一阶及二阶连续偏导数,又fx(x0,y0) = 0,fy(x0,y0) = 0,令fxx(x0,y0) = A,fxy(x0,y0) = B,fyy(x0,y0) = C,
则f(x,y)在(x0,y0)处是否取得极值的条件如下:
(1)AC-B2>0时具有极值,且当A<0时有极大值,当A>0时有极小值;
(2)AC-B2<0时没有极值;
(3)AC-B2=0时可能有极值,也可能没有极值,还需另作讨论。
利用定理1、2,我们把具有二阶连续偏导数的函数z = f(x,y)的极值的求法叙述如下:
第一步 解方程组fx(x,y) = 0,fy(x,y) = 0,求得一切实数解,即可求得一切驻点;
第二步 对于每一个驻点(x0,y0),求出二阶偏导数的值A、B和C;
第三步 定出AC-B2的符号,按定理2的结论判定f(x0,y0)是否是极值、是极大值还是极小值。
说明
上面介绍的极值必要条件和充分条件都是对函数在极值点可导的情形才有效的。当函数仅在区域D内的某些孤立点(xi, yi)不可导时,这些点当然不是函数的驻点,但这种点有可能是函数的极值点,要注意另行讨论。


