目录

  • 1 序言
    • 1.1 第一节  《微积分》课程简介
    • 1.2 第二节 微积分学习方法
  • 2 第一章 函数
    • 2.1 第一节 预备知识
      • 2.1.1 实数的区间与邻域
    • 2.2 第二节 函数
      • 2.2.1 函数概念与表示
    • 2.3 第三节 反函数
    • 2.4 第四节 函数的几何特性
    • 2.5 第五节 函数的运算
      • 2.5.1 函数的四则运算
      • 2.5.2 函数的复合与分解
    • 2.6 第六节 初等函数
      • 2.6.1 基本初等函数与初等函数
    • 2.7 第七节 经济函数举例
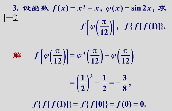
    • 2.8 习题解答(习题1-1and2选解)
    • 2.9 章节测试
    • 2.10 章节必做测验
  • 3 第二章 极限与连续
    • 3.1 第一节 数列的极限
      • 3.1.1 数列及其极限的描述定义
      • 3.1.2 数列极限与子列极限的关系
      • 3.1.3 选学1*——数列极限的分析定义
    • 3.2 第二节 函数的极限
      • 3.2.1 函数在无穷远处的极限
      • 3.2.2 函数在固定点的极限与单侧极限
      • 3.2.3 无穷小量与无穷大量的概念
      • 3.2.4 选学2*——函数极限的分析定义
    • 3.3 第三节 极限的四则运算
      • 3.3.1 极限的四则运算法则及有理分式的极限
    • 3.4 第四节 极限的性质
      • 3.4.1 极限唯一性与应用
      • 3.4.2 极限的有界性和局部有界性
      • 3.4.3 复合函数的极限
      • 3.4.4 极限的保号性
      • 3.4.5 选学3*——数列极限与函数极限的关系
    • 3.5 第五节 两个重要极限
      • 3.5.1 夹逼准则
      • 3.5.2 重要极限I及其应用
      • 3.5.3 单调有界准则
      • 3.5.4 重要极限II及其应用
      • 3.5.5 连续复利
    • 3.6 第六节 无穷小量的性质
      • 3.6.1 无穷小量的运算性质
      • 3.6.2 无穷小量与其他概念的关系性质
    • 3.7 第七节 无穷小量阶的比较
      • 3.7.1 无穷小量阶的比较
      • 3.7.2 等价代换求极限
    • 3.8 第八节 函数连续与间断概念
      • 3.8.1 连续的定义及其等价形式
      • 3.8.2 连续的必要条件与单侧连续
      • 3.8.3 间断点分类与举例
    • 3.9 第九节 函数连续的性质
      • 3.9.1 函数连续的性质
      • 3.9.2 分段函数连续区域
    • 3.10 第十节 闭区间上连续函数的性质
      • 3.10.1 闭区间上的连续函数及其性质
    • 3.11 章节 必做测试
    • 3.12 习题选解
      • 3.12.1 习题1-3and4
      • 3.12.2 习题1-5and678
      • 3.12.3 习题1-9and10
    • 3.13 章节测试
  • 4 第三章 导数与微分
    • 4.1 第一节 导数的概念
      • 4.1.1 导数概念
      • 4.1.2 单侧导数
      • 4.1.3 可导与连续的关系
    • 4.2 第二节 导数的运算法则
      • 4.2.1 导函数
      • 4.2.2 导数的四则运算
      • 4.2.3 反函数求导法与导数公式
    • 4.3 第三节 复合函数求导法和隐函数求导法
      • 4.3.1 复合函数的导数
      • 4.3.2 隐函数求导法
      • 4.3.3 对数求导法
    • 4.4 第四节 高阶导数
      • 4.4.1 高阶导数
      • 4.4.2 几个函数的n阶导数
      • 4.4.3 n阶导数的计算公式
    • 4.5 第五节 函数的微分
      • 4.5.1 微分概念
      • 4.5.2 可导与微分的关系
      • 4.5.3 微分的四则运算
      • 4.5.4 一阶微分形式不变性
    • 4.6 第六节  导数在经济中的应用
      • 4.6.1 边际
      • 4.6.2 弹性
    • 4.7 导数与微分必做测试
    • 4.8 习题选解——疑难问题
      • 4.8.1 习题2-1
      • 4.8.2 习题2-2
      • 4.8.3 习题2-3
      • 4.8.4 习题2-4
      • 4.8.5 习题2-5
    • 4.9 章节测试
  • 5 第四章  微分学应用
    • 5.1 第一节 极值的概念
      • 5.1.1 函数极值的概念及必要条件
    • 5.2 第二节 中值定理
      • 5.2.1 罗尔定理
      • 5.2.2 罗尔定理应用
      • 5.2.3 拉格朗日定理
      • 5.2.4 拉格朗日定理的推论
      • 5.2.5 柯西定理
    • 5.3 第三节 罗比达法则
      • 5.3.1 罗比达法则
      • 5.3.2 几个无穷大量的比较
      • 5.3.3 罗比达法则其它型
    • 5.4 第四节  函数的单调性
    • 5.5 第五节 极值点的充分条件
      • 5.5.1 函数极值的第一充分条件
      • 5.5.2 函数极值的第二充分条件
    • 5.6 第六节 曲线的凹凸性
      • 5.6.1 曲线的凹凸性与拐点
      • 5.6.2 曲线的凹凸性判别
    • 5.7 第七节 曲线的渐近线
    • 5.8 第八节 函数的作图
      • 5.8.1 函数作图
      • 5.8.2 软件作图
    • 5.9 第九节 函数最值的应用
      • 5.9.1 函数的最大值与最小值
      • 5.9.2 函数最值的应用
    • 5.10 测验---必做
    • 5.11 习题选解---
      • 5.11.1 习题3-1and2
    • 5.12 章节测试
  • 6 第五章  不定积分
    • 6.1 第一节 不定积分的概念
    • 6.2 第二节 不定积分的性质
    • 6.3 第三节 基本积分法
    • 6.4 第四节 换元积分法
      • 6.4.1 第一换元法
      • 6.4.2 第二换元法
    • 6.5 第五节 分部积分法
    • 6.6 第六节 简单有理分式的积分
    • 6.7 章节基础练习---必做
    • 6.8 章节测试
  • 7 定积分——链接
    • 7.1 定积分
  • 8 定积分的应用——链接
    • 8.1 定积分的应用
  • 9 微积分(二)复习
    • 9.1 6月15日(1)
    • 9.2 6月15日(2)
  • 10 2019级复习
    • 10.1 历年真题一
    • 10.2 历年真题二
    • 10.3 历年真题三
习题解答(习题1-1and2选解)