Structural Mechanics

LIU Yonghua

目录

  • 1 Introduction
    • 1.1 Structures and their classification
    • 1.2 Study Object and Tasks
    • 1.3 Analytical Models of Structures
    • 1.4 Classification of Framed Structures
    • 1.5 Classification of Loads
  • 2 Geometric Construction Analysis
    • 2.1 Purpose and concepts of geometric construction analysis
    • 2.2 Geometric construction rules of planar stable systems without redundant restraints
    • 2.3 Examples for geometric construction analysis
    • 2.4 Statically determinate structures and statically indeterminate structures
  • 3 Statically determinate beams
    • 3.1 Internal forces analysis of statically determinate structure
    • 3.2 Statically determinate single span beams
    • 3.3 Statically determinate multispan beams
  • 4 Statically determinate  rigid frames
    • 4.1 Concept
    • 4.2 Classification of statically determinate plane rigid frame
    • 4.3 Internal forces calculation of statically determinate plane rigid frame
  • 5 Three hinged arches
    • 5.1 The constitution and stress performance of arches
    • 5.2 Internal forces calculation of arches
  • 6 Statically determinate trusses and composite structures
    • 6.1 Characteristics and classification of trusses
    • 6.2 The Method of Joints
    • 6.3 The Method of Sections
    • 6.4 The combination of the Method of Joints and the Method of Sections
    • 6.5 Composite structures
  • 7 General properties of statically determinate structures
    • 7.1 Statically determinate structure
    • 7.2 General propertied of Statically determinate structure
  • 8 Calculation of structural displacements
    • 8.1 Introduction for calculation of structural displacements
    • 8.2 Principle of virtual work
    • 8.3 The unit load method and general formula for computing displacement
    • 8.4 Calculation of displacements caused by loads
    • 8.5 Graph-multiplication method
    • 8.6 Calculation of displacements caused by support movements
    • 8.7 Reciprocal laws for linearly elastic system
  • 9 Force  Method
    • 9.1 Statically indeterminate structures and degrees of indeterminacy
    • 9.2 Principle of Force Method
    • 9.3 Canonical equations of Force Method
    • 9.4 Statically indeterminate beams and rigid frames
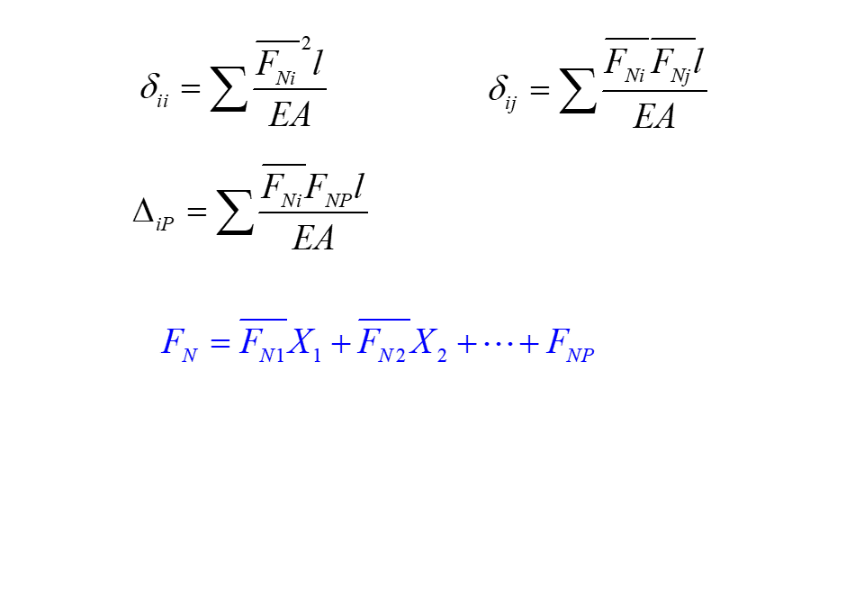
    • 9.5 Statically indeterminate trusses and composite structures
    • 9.6 Analysis of symmetric structures
    • 9.7 Analysis of internal forces for statically indeterminate structures due to support settlements
  • 10 Displacement  Method
    • 10.1 Slope-deflection equations of prismatic members
    • 10.2 Principle of Displacement Method
    • 10.3 Primary unknowns in Displacement Method
    • 10.4 Canonical equations of Displacement Method
    • 10.5 Analysis of statically indeterminate beams and rigid frames
Statically indeterminate trusses and composite structures