数学模型与稳定性分析
上一节
下一节

分析和设计任何一个控制系统,首要任务是建立系统的数学模型。
系统的数学模型是描述系统输入、输出变量以及内部各变量之间关系的数学表达式。
建立数学模型的方法分为解析法和实验法:
解析法:依据系统及元件各变量之间所遵循的物理、化学定律列写出变量间的数学表达式,并实验验证。
解析法:依据系统及元件各变量之间所遵循的物理、化学定律列写出变量间的数学表达式,并实验验证。

总结: 解析方法适用于简单、典型、常见的系统,而实验方法适用于复杂、非常见的系统。实际上常常是把这两种方法结合起来建立数学模型更为有效。
控制系统微分方程的建立
基本步骤:
分析各元件的工作原理,明确输入、输出量;
建立输入、输出量的动态联系;
消去中间变量;
标准化微分方程。
列写微分方程的一般方法
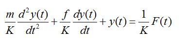
例:设有一弹簧质量 阻尼动力系统如图所示,当外力F(t)作用于系统时,系统将产生运动,试写出外力F(t)与质量块的位移y(t)之间的动态方程。其中弹簧的弹性系数为k,阻尼器的阻尼系数为f,质量块的质量为m。

![]()
式中:Fi是作用于质量块上的主动力,约束力以及惯性力。
将各力代入上等式,则得

式中:y——m的位移(m);
f——阻尼系数(N·s/m);
K ——弹簧刚度(N/m)。
将式(2-4)的微分方程标准化



如何建立系统的数学模型?

