物流设施选址
-
1 连续选址法
-
2 算例
-
3 离散选址
-
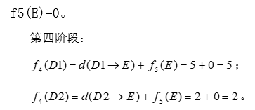
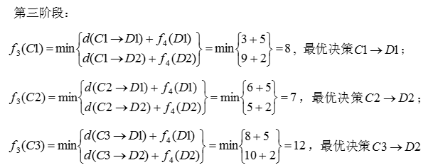
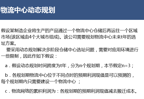
4 动态规划
上一节
下一节
连续选址法
单设施选址指为单个物流设施选址,最常用的是重心法。它将运输成本作为唯一的选址决策因素,是一种静态的选址方法。该方法的目标是找出重心的位置,使得总运输成本最小。即
其中TC——运输总成本;
Qi——节点i的运输量;
Ri——待选址设施到节点i的运输费率;
di——待选址设施到节点i的距离。
位置待定的仓库的坐标


´重心法求解步骤:
(1)确定各产地和需求地的坐标值,同时确定各点的货物运输量和直线运输费率。
(2)确定初始选址点,计算运输成本。
(3)根据坐标求解公式,用步骤2得到的初始坐标,计算新坐标。
(4)根据新坐标计算新运输成本,如果运输成本变小,则重复步骤三,如果运输成本变化很小,则停止计算。原坐标为最佳选址。


































