基于栅格数据的GIS分析(2)
四、栅格窗口分析
地学信息除了在不同层面的因素之间存在着一定的制约关系之外,还表现在空间上存在着一定的关联性。对于栅格数据所描述的某项地学要素,其中的(i,j)栅格往往会影响其周围栅格的属性特征。充分而有效地利用这种事物在空间上相联系的特点,是地学分析的必然考虑因素。
1.相关分析
根据地理学第一定律,即地理事物或属性在空间分布上互为相关,存在集聚(clustering)、随机(random)、规则(Regularity)分布等。利用空间相关指数可以描述相周围事物或正相关或随机相关或负相关。常用的有 moran I和Geary C指数。
基于栅格数据利用moran I和 GearyC 指数进行相关性分析如图5.53A表示自相关性强,图5.53B显示比较弱,图5.53C显示无关联。
2、窗口分析
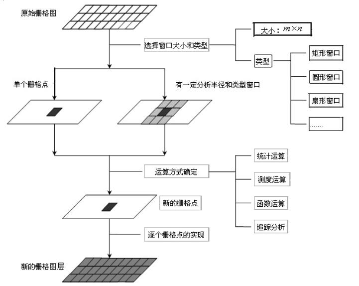
设置窗口,再对窗口进行分析,也属于相关分析问题。窗口分析是指对于栅格数据系统中的一个、多个栅格点或全部数据,开辟一个有固定分析半径的分析窗口,并在该窗口内进行诸如极值、均值等一系列统计计算,或与其它层面的信息进行必要的复合分析,从而实现栅格数据有效的水平方向扩展分析。窗口分析实现过程如图5.54所示。
窗口分析中的三个要素如下:
(1)中心点:在单个窗口中的中心点可能就是一个栅格点,或者是分析窗口的最中间的栅格点,窗口分析运算后的数值赋予它(在5.2.1谈及的数值计算)。
(2)分析窗口大小与类型:依据单个窗口中的栅格分布状况,如平滑运算的3×3矩形窗口,扇形窗口等。
(3)运算方式:图层根据窗口分析类型,依据不同的运算方式获得新的图层,如DEM提取坡度、坡向运算。
就具体实现来说,窗口分析是针对一个栅格及其周围栅格的数据分析技术,一般在单个图层上进行。分析时,首先选择合适的窗口大小、窗口类型,确定分析的目的,指定分析选用的运算函数,从最初点开始进行运算得到新的栅格值,按次序逐点扫描整个格网进行窗口运算,最后得到新的图层,如图5.54所示。

图5.54 窗口分析实现过程
1.分析窗口的类型
按照分析窗口的形状,可以将分析窗口划分为以下类型。
(1)矩形窗口:是以目标栅格为中心,分别向周围八个方向扩展一层或多层栅格,从而形成如图55(a) 所示的矩形分析区域。
(2)圆形窗口:是以目标栅格为中心,向周围作一等距离搜索区,构成一圆形分析窗口,如图5.55(b)所示。

图5.55 DEM 局部移动窗口
(3)环形窗口:是以目标栅格为中心,按指定的内外半径构成环形分析窗口。
(4)扇形窗口:是以目标栅格为起点,按指定的起始与终止角度构成扇形分析窗口。
(5)其他窗口:如正六边形等。
2.窗口分析的类型
窗口分析可进行以下几种类型的计算。
(1)统计运算
栅格分析窗口内的空间数据的统计分析类型一般有以下几种类型。
①平均值统计(Mean):新栅格值为分析窗口内原栅格值的均值。
②最大值统计(Maximum):新栅格值为分析窗口内原栅格值的最大值。
③最小值统计(Minimum):新栅格值为分析窗口内原栅格值的最小值。
④中值统计(Median):新栅格值为分析窗口内原栅格值的中值。
⑤求和统计(Sum):新栅格值为分析窗口内原栅格值的总和。
⑥标准差统计(Standard deviation):新栅格值为分析窗口内原栅格值的标准差值。
⑦其他,诸如值域、模等。
如图5.56是11×11窗口大小的平均值统计的窗口分析。

图5.56(a和b)
(2)测度运算
①范围统计(Range):是指分析窗口范围内统计值的范围。
②多数统计(Majority):是指分析窗口范围内绝大多数的统计值,频率最高的单元值。
③少数统计(Minority):是指分析窗口范围内较少数的统计值,频率最低的单元值。
④种类统计(Variety):是指分析窗口范围内统计值的种类,不同单元值的数目。
(3)函数运算
窗口分析中的函数运算是选择分析窗口后,以某种特殊的函数或关系式,如滤波算子、坡度计算等,来进行从原始栅格值到新栅格值的运算,具体可以用公式来表达。
在函数运算中,应用比较广泛的有以下两种。
① 滤波运算:如图像卷积运算、罗伯特梯度计算、拉普拉斯算法等,这些在遥感图像处理方面应用较广。图5.57是进行滤波运算的窗口分析。

图5.57 滤波运算窗口分析
① 地形参数运算:如坡度坡向的运算,平面曲率、剖面曲率的计算,水流方向矩阵、水流累计矩阵的获得等。图5.58是某栅格点坡度函数运算图层显示。

图5.58 栅格点坡度函数运算图层显示
五、栅格地形分析
曾强调地形分析与数据结构关系密切。栅格数据的地形分析主要依据数字高程模型(Digital Elevation Model,简称DEM)。DEM是通过有限的地形高程数据实现对地形曲面的数字化模拟。而数字地面模型(DigitalTerrain Model,简称DTM),通常定义为描述地面特征空间分布的有序数值阵列。它以离散分布的平面点来模拟连续分布的地形。按平面上等间距规则采样,或内插所建立的数字地面模型,称为基于栅格的数字地面模型。可写成公式:

在式中,Z为栅格结点(i,j)上的地面属性数据,包括地貌、土壤、土地利用、土地权属等等。将数字地面模型的地面特征用于描述地面高程,这时的DTM被称为“数字高程模型”,即DEM。数字高程模型是建立各种数字地形模型的基础,通过DEM,可以方便地获得地表的各种特征参数,如坡度、坡向、山体阴影等,其应用可遍及整个地学领域。
在GIS地形或景观分析中,除提取坡度和坡向外,还可以计算山体阴影(Hillshape)和挖方和填方等。可用于研究区域内的地貌形态、斜坡特征;在地形显示中,可用于计算地表单元的受光强度;在水文模拟中,可用于确定和勾绘区域界线和河流水道,计算水流的方向和流量。还可以与其他地形因子和环境要素结合起来,应用于微气候(Microclimate)、生态、土地利用等方面的研究(详见第6和第8章)。
例如在地学分析中,用于自动提取各种地形因子,制作地形剖面图和划分地表形态类型,在工程勘测和设计中,可用于各种线路的自动选线、库坝的选址,以及土方、库容和淹没损失的自动估算等;一些应用例子在5.1.2已介绍,请读者参看《GIS导论实验指导》中“实验项目四——地形分析”加以体会。
总之,栅格数据模型和矢量数据模型是描述地理现象最常见、最通用的数据模型,概括比较见表5.4。
表5.4 矢量和栅格数据表达的模型比较
| 矢量数据表达 | 栅格数据表达 | |
| 建模特点 | 针对离散数据建模,并提供精确的形状和边界。 | 针对连续的地理现象和过程建模 |
| 数据源 | 野外测量数据、GPS数据、数字化地形图、栅格数据矢量化等 | 扫描数字化、RS数据、矢量数据栅格化等 |
| 空间数据存储 | 点以坐标对、线以坐标串、多边形以封面的坐标串存储 | 用栅格大小表示精度,用行列号表示位置 |
| 特征表达 | 点只有位置,没有大小特征;线只有长度,没有宽度特征;多边形为一个面状区域 | 点由单个栅格单元表达;线由一系列具有相同取值的邻近的栅格序列表达;面为具有相同取值的栅格区域 |
| 拓扑关系 | 线拓扑关系提供结点定义 面拓扑关系通过线的左右多边形定义 | 栅格单元的邻近关系通过栅格行列号的增加或减少确定 |
| 空间分析 | 地图叠加、生成缓冲区、多边形处理、空间与逻辑查询、地址匹配、网络分析等 | 空间一致性分析、邻近分析、离差、差值分析、叠加分析和影像分析等。 |
| 制图输出 | 输出矢量图形精美,精度高,但不适合连续分布的地理现象制图或面状色彩填充的地理特征输出 | 适合输出连续地理分布现象的制图或影像输出,不适合绘制点、线地物特征。 |

